齐鲁网·闪电新闻6月29日讯 6月29日下午,济南市教育局中招办召开2022年济南市高中阶段学校招生工作第一次新闻发布会。记者从会上了解到,济南市莱芜区、钢城区志愿填报资格线:
1.公办普通高中志愿填报资格线为519分,民办普通高中志愿填报资格线为485分。
2.普通高中招生音乐专业志愿填报资格线为469分,美术专业志愿填报资格线为465分。
3.五年制高等师范教育志愿填报资格线为400分,五年制高等职业教育、“三二”连读高等职业教育志愿填报资格线为180分。
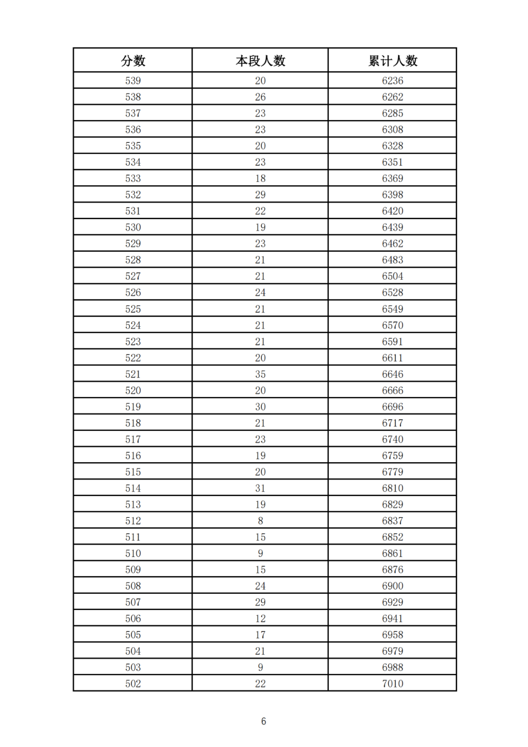
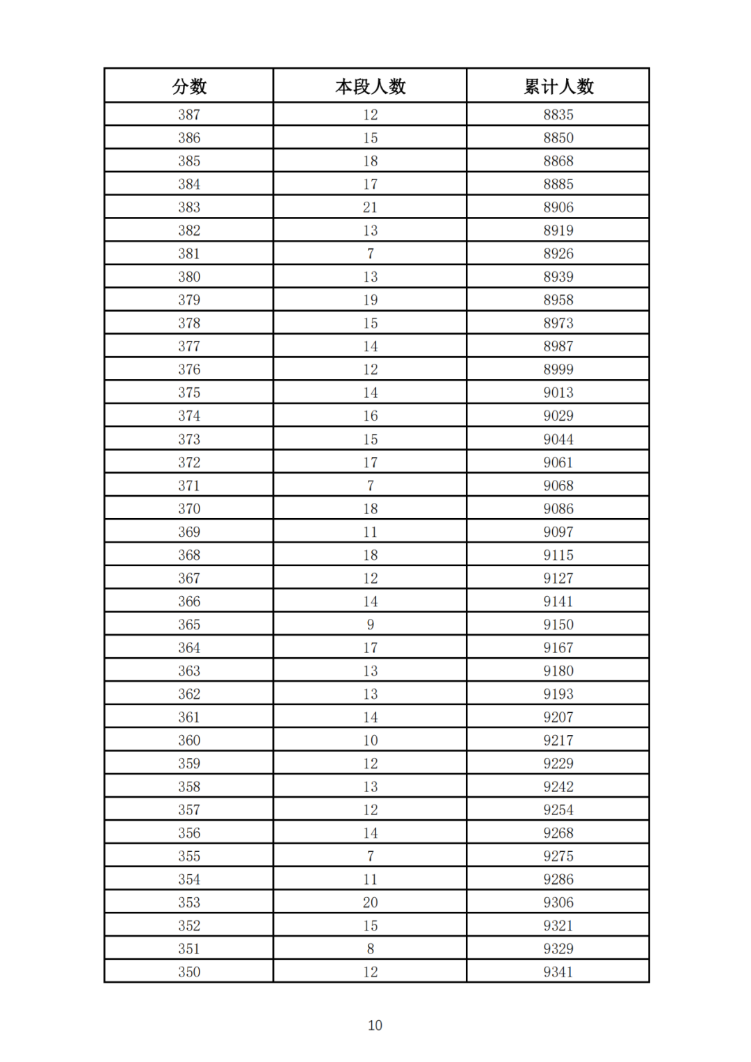
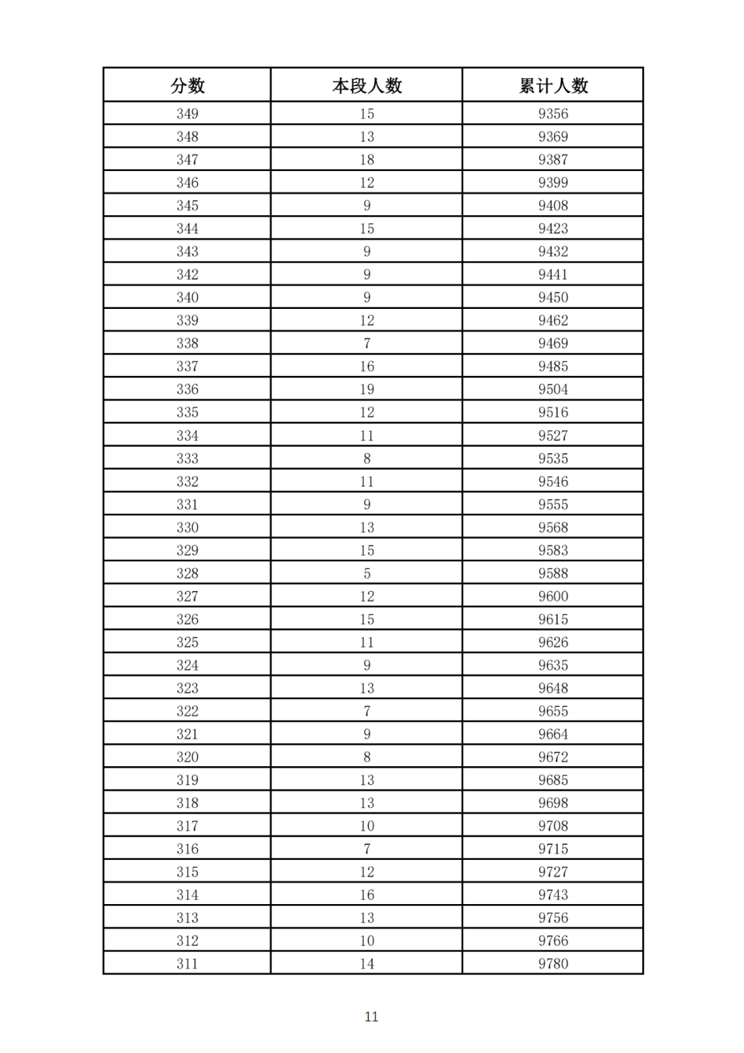
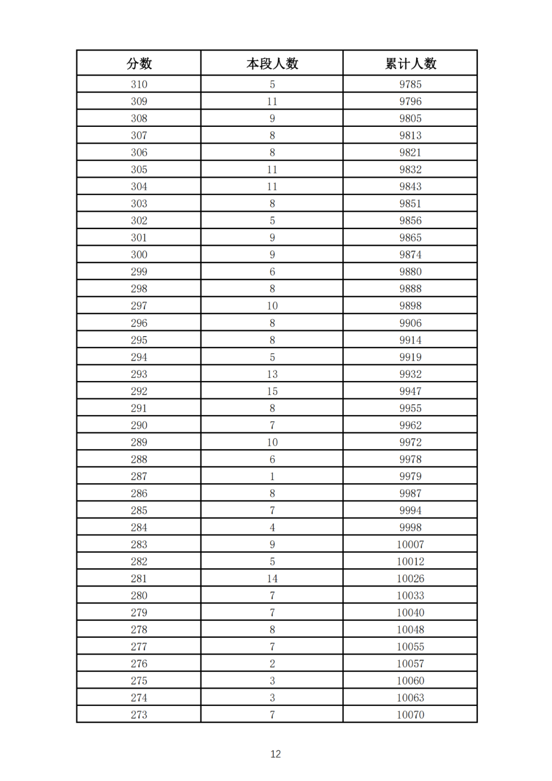
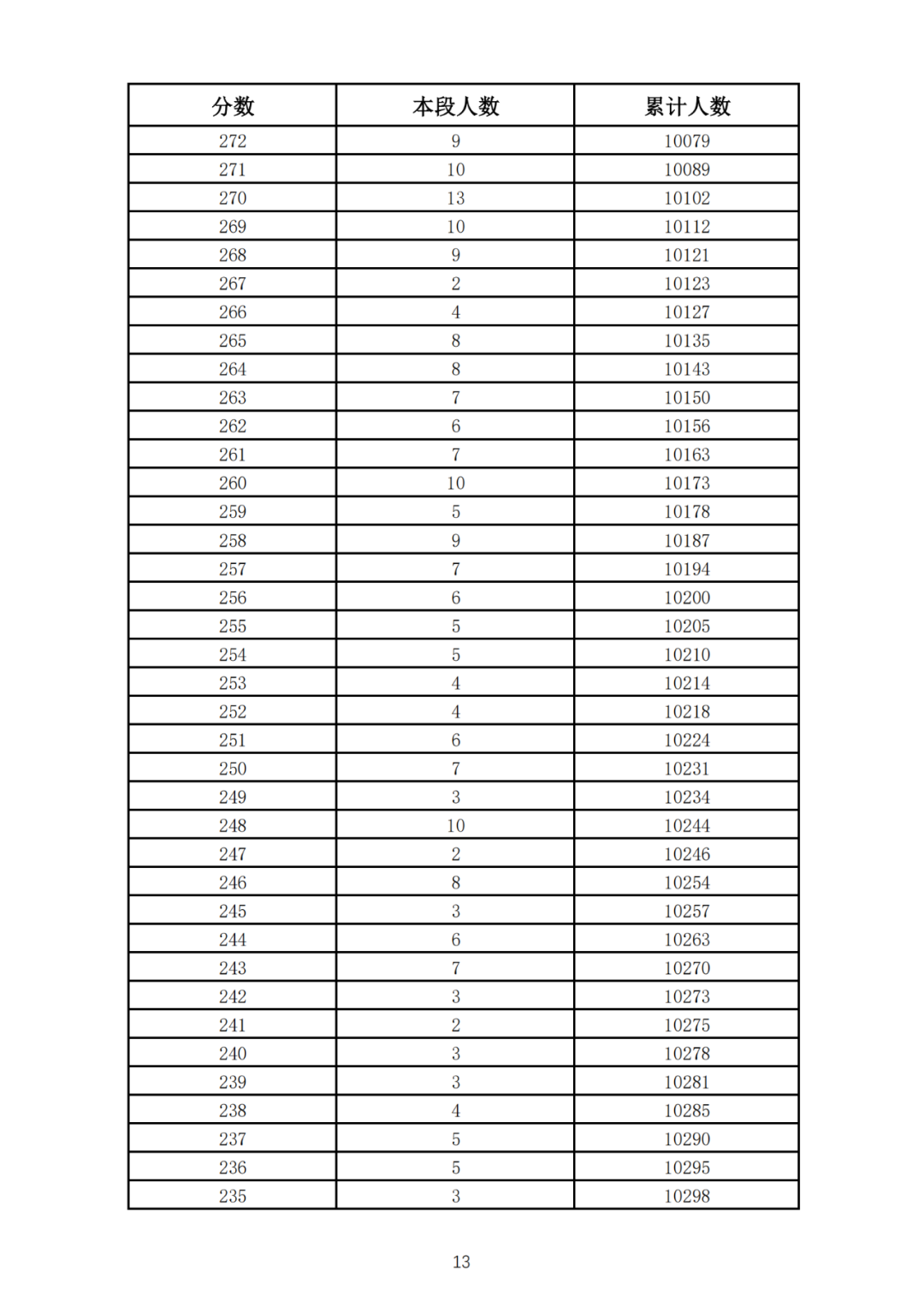
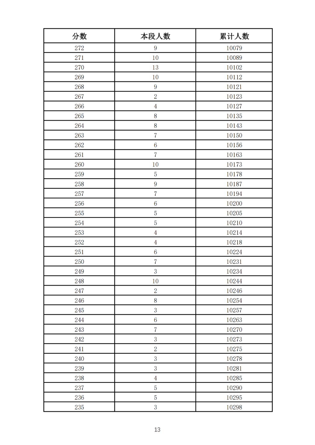
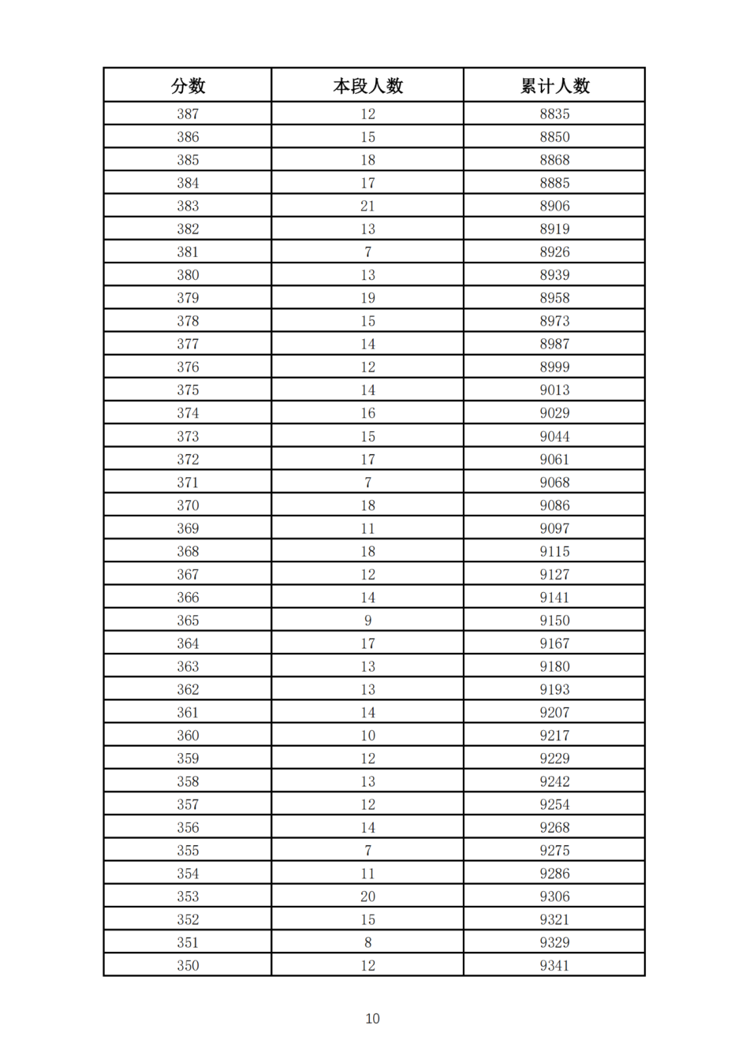
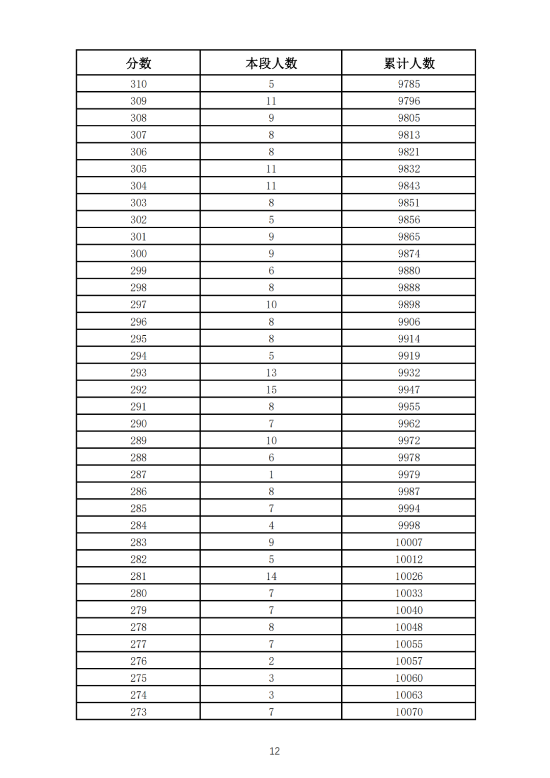
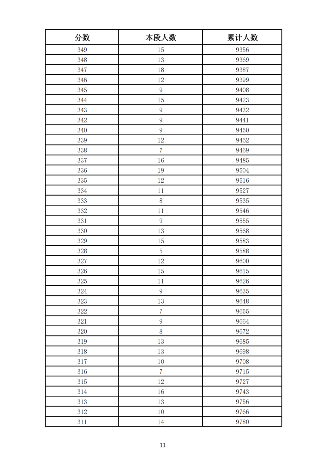
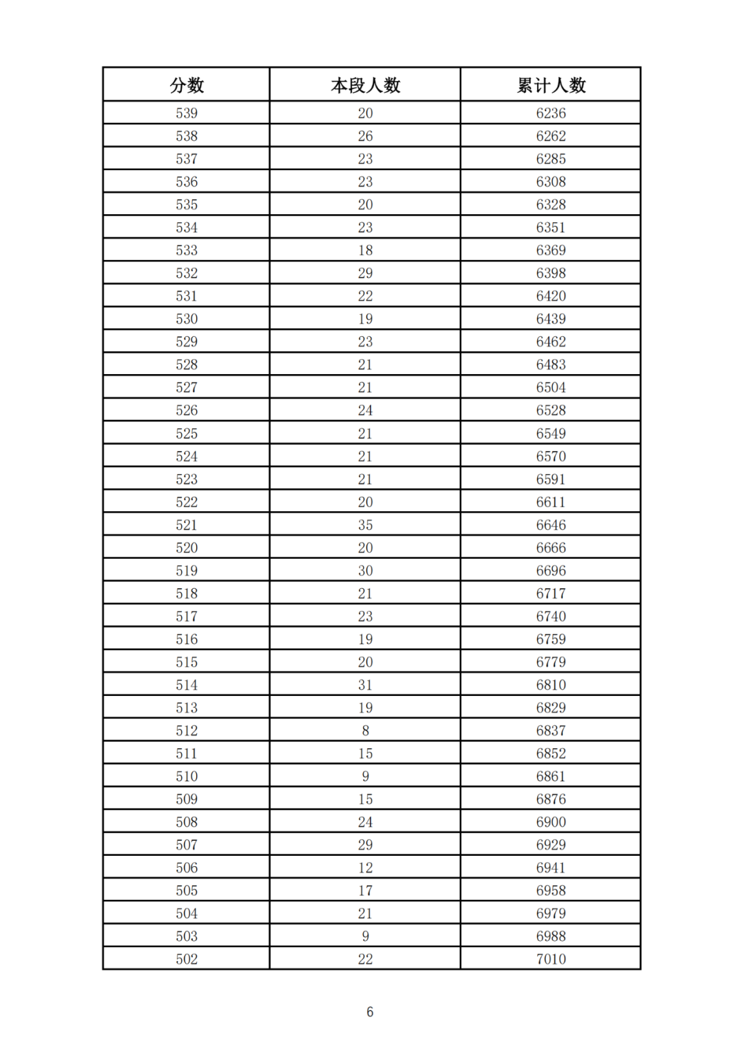
考生一分一段表:















分类招生计划:
1.普通高中学校招生计划共计7350人。
2.职业院校招生计划共计5509,其中:
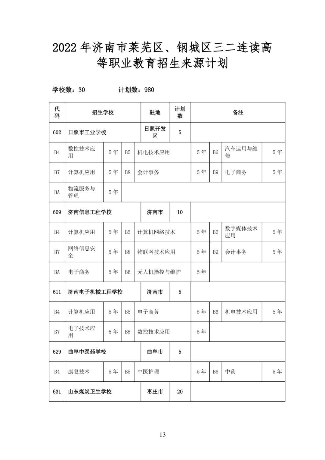
(1)初中后高等职业教育招生计划共计1949人。包括五年制高等师范教育计划145人,五年制高等职业教育计划824人,“三二”连读高职计划980人。
(2)中等职业学校招生计划共计3560人。包含中专招生计划2640人,技工学校招生计划920人。
普通高中招生计划:

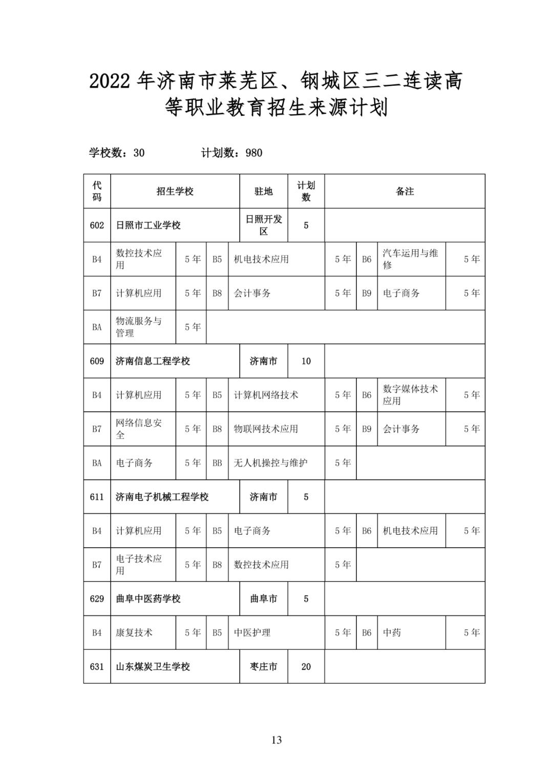
职业院校招生计划:

















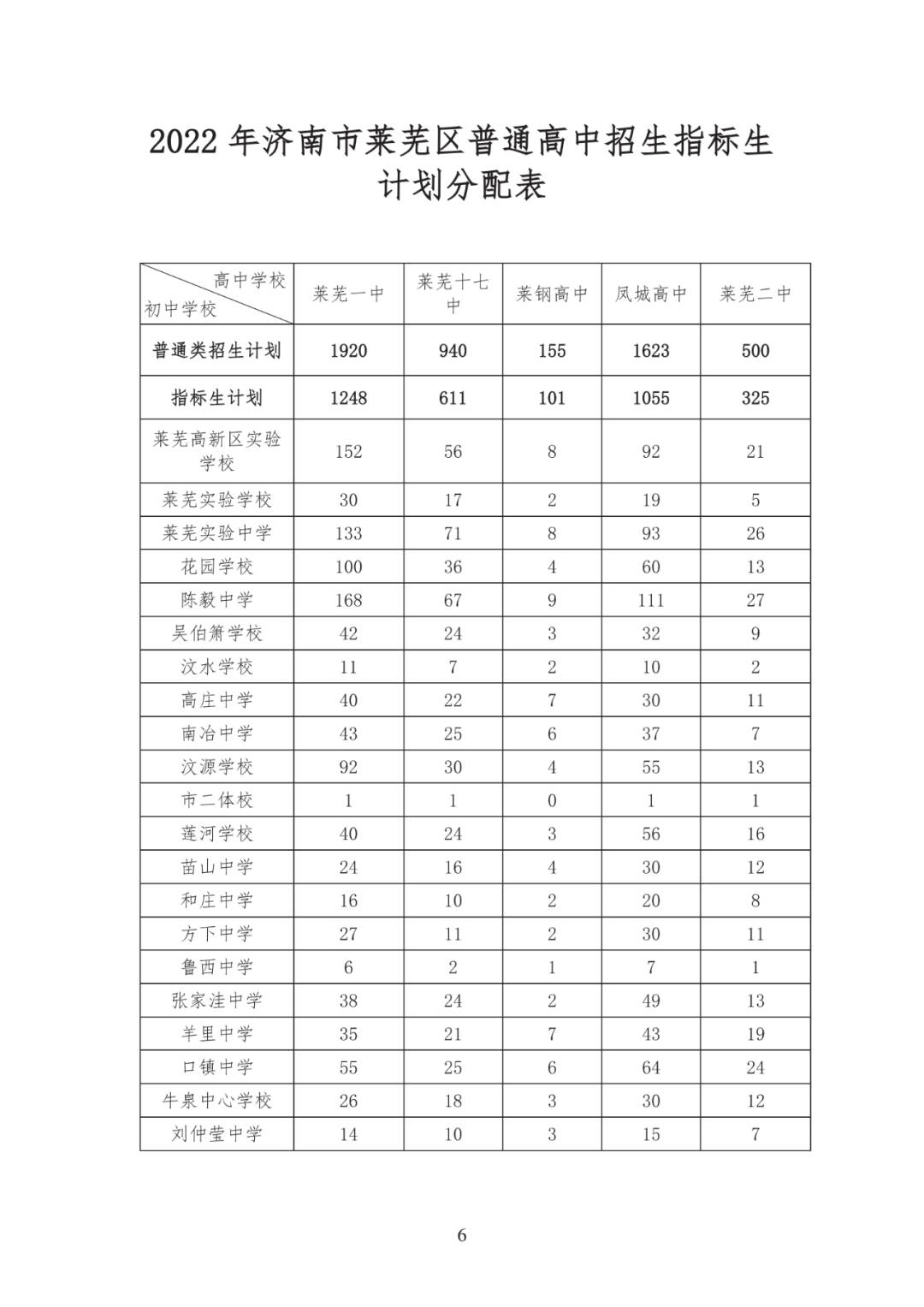
指标生分配计划:


闪电新闻记者 董洁 报道