2022中考|莱芜区、钢城区高中阶段招录志愿填报资格线、一分一段表、分类招生计划及指标生分配计划

志愿填报资格线

1.公办普通高中志愿填报资格线为519分,民办普通高中志愿填报资格线为485分。

2.普通高中招生音乐专业志愿填报资格线为469分,美术专业志愿填报资格线为465分。

3.五年制高等师范教育志愿填报资格线为400分,五年制高等职业教育、“三二”连读高等职业教育志愿填报资格线为180分。

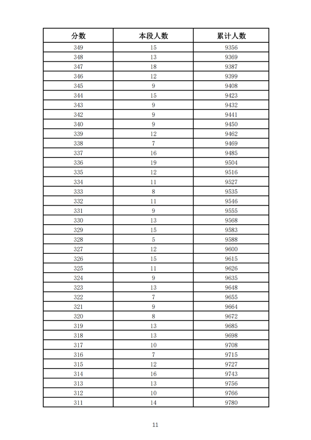
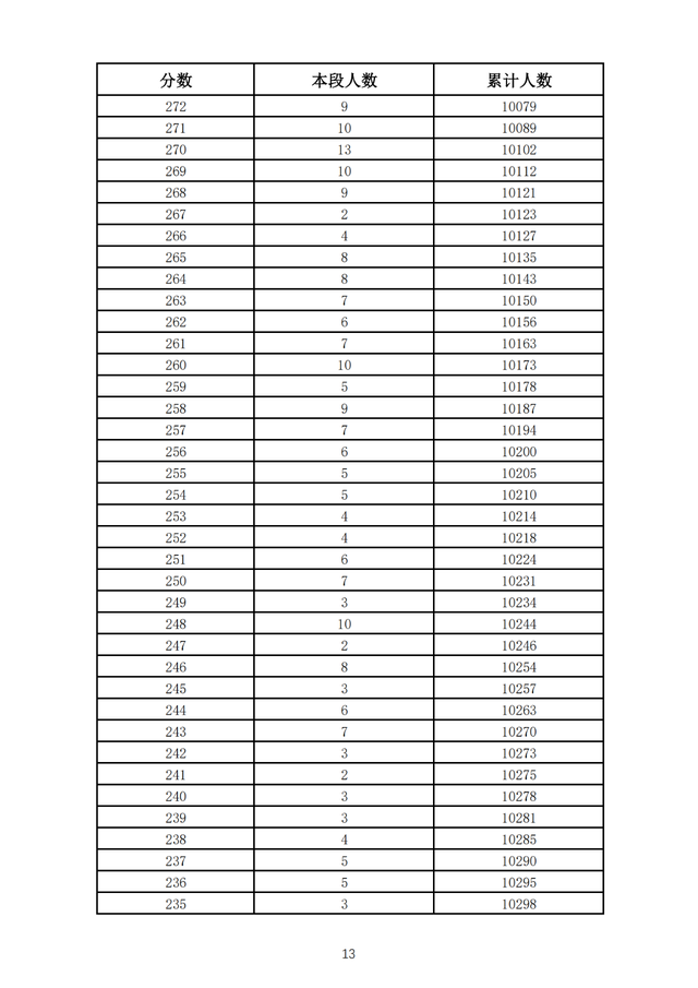
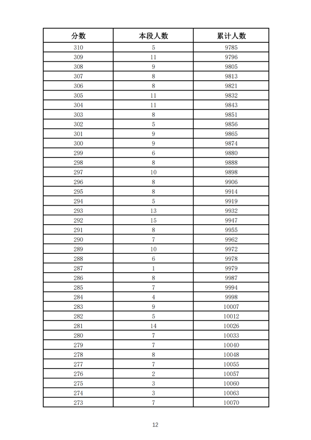
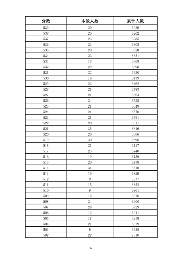
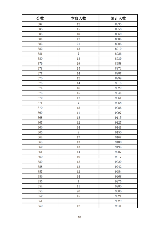
考生一分一段表

分类招生计划

1.普通高中学校招生计划共计7350人。

2.职业院校招生计划共计5509,其中:

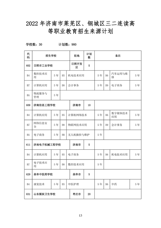
(1)初中后高等职业教育招生计划共计1949人。包括五年制高等师范教育计划145人,五年制高等职业教育计划824人,“三二”连读高职计划980人。

(2)中等职业学校招生计划共计3560人。包含中专招生计划2640人,技工学校招生计划920人。

普通高中招生计划

职业院校招生计划

















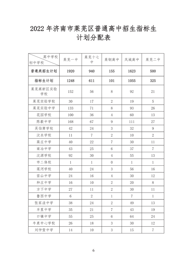
指标生分配计划

发表评论
留言与评论(共有 0 条评论) “”
   
验证码:

相关文章

推荐文章