稍微熟悉一些政治理论的朋友应该都知道弗朗西斯·福山 (Francis Fukuyama)的这本书《历史的终结与最后的人》(The End of History and the Last Man),此书成于1990年代初,就着当时的时代背景(东欧巨变、苏联解体、冷战结束)预言了人类社会最终的组织形式将会是 liberal democracy。福山先生放眼人类历史上下几千年,剖析波澜壮阔的20世纪,师承从康德、黑格尔到马克思的德国古典哲学与人类社会发展阶段理论,提出“历史终结论”。他分析了君主制、法西斯制度、穆斯林国家的制度和东欧与前苏联所代表的政治体制,在学理的层面上指出这些制度的内在缺陷,并一一论证 liberal democracy 不存在这些天生的缺陷,然后再用当时的实例(美国、欧洲、日本欣欣向荣;东欧翻盘、苏联解体、拉美国家陷于独裁的泥潭…)来佐证其理论的正确。此书和其基本的结论风靡一时,产生了世界范围内的影响。自认为已经生活在历史终结制度中的人们从此更是站上了道德和哲学的制高点,开始对他们认为还没有成为最后的人的人们指指点点、耳提面命;而被批评惯了的人们也因此变得思维定势,天生觉得自己所生活的制度低人一等,都不好意思为之辩护,自愿成为了沉默的大多数和国际受气包,受了欺负除了表示强烈抗议之外更无他法。可见福公此书制造舆论的成功和深入人心的力量。
然而,三十年过去了,出乎福公的预料,更出乎那些自以为是最后的人和想成为最后的人的人们的预料,历史没有终结。当年的成功实例就在我们的眼前一步一步陷入了困顿,“历史终结论”渐渐 hold不住了。到底谁在践行liberal democracy,到底如此的组织形式是否也有天生的缺陷,到底人类社会是否存在最终的组织形式,…,这样的问题反而变成从被忽悠的状态中渐渐回过神来的人们开始思考的问题。就连福公自己,面对惨淡的现实,也开始按捺不住,屡屡出来给“历史终结论”打补丁,可也架不住他身在其中的政府和人类组织形式实在是烂泥扶不上墙,打脸的速度快过打补丁的速度,真让人生出三十年河东的感叹。
其实抛开“历史终结论”的意识形态引申,那本书《历史的终结与最后的人》是一部扎扎实实的学术著作。论证合理、文字流畅、引人入胜,用物理学家能够听懂的语言就好像是一篇有着 Nature 题目的长 Physical Review B 或 者 Physical Review X 文章,开卷有益,让人喜欢读,好的文章就应该是这个样子。如果是有着 Nature 题目的 Nature 文章,那反而不用看了,因为杂志社出于商业利益的考虑,往往引诱着物理学家们昧着良心说话,造成的结果就是这样的文章会有各种各样的问题;而长 Physical Review B 文章,或者长 Physical Review X 文章,因为出版机构是非商业性的,变成了物理学家们尽情发挥的场所,同行和后学们可以真正从中学习到有用的知识。好的,既然已经提到了物理学,那我们就借着历史的终结往下说,看看物理学,或者凝聚态物理学量子多体问题中有没有类似“历史终结论”hold 不住了这样的故事。
笔者在之前的文章中,讲到过一个例子就有着类似的精神[1],故事涉及量子多体中眼下经常讨论的“涌现连续对称性”(emergent continuous symmetry)。目前我们讲到超越朗道—金兹伯格—威尔逊相变和临界现象理论框架的物理现象,经常会遇到这个概念。其大意是,物理系统的哈密顿量决定了系统所能具有的对称性,而体系在哈密顿量参数空间中所呈现出的相,其对称性往往要低于哈密顿量的对称性,即对称性自发破缺现象。但是在量子多体行为中,目前人们从量子涨落、分数化原激发和涌现规范场这样的角度,发现了相变点上的量子物态可以具有高于哈密顿量的对称性,即涌现连续对称性。这样的现象在阻挫磁体、去禁闭量子临界点、强关联拓扑序等等系统中都有体现,并且有着逐渐被接受成为新型量子相变的规律的趋势。但是,问题就在于如此的理论框架还在建立中,其实并没有如朗道—金兹伯格—威尔逊框架那样完善,所以也就有不符合的时候。此时需要注意的就是不能无限拔高,错把emergent continuous symmetry 这样的 good wish 当成了绝对真理,笔者之前的那篇文章,就是讲了阻挫三角晶格的量子伊辛模型中,人们预期在相变点上产生 emergent O(2)对称性,并且也被后来的蒙特卡洛严格计算证实。基于此,便有人就拔高到阻挫六角晶格量子伊辛模型的相变点也应该具有 emergent O(3)对称性,但是我们自己的蒙特卡洛严格计算却发现此处其实是一个遵从朗道—金兹伯格—威尔逊框架的一级相变[2]。这个故事背后的研究论文的题目就是:Caution on emergent continuous symmetry (小心预言涌现连续对称性),而那篇讲故事的文章的题目是:学好蒙特卡洛,不会被忽悠。其实说的都是一个意思。
接下来我们就进入本文的主题,看看另外一个更加重要的“历史终结论”在量子多体问题中 hold不住的情况。一如以往,我们还是从朗道—费米液体理论说起。之前的两篇文章[3,4]中主要关注准粒子、自能以及非费米液体自能分数化频率幂指数关系等等。这里我们来讲讲费米面的大小。其实费米面中所包含的面积(对于二维的布里渊区来说)或者体积(对于三维的布里渊区来说),与布里渊区本身的面积或者体积的比例,就是系统中电子的填充数或者占据数,这个规律现在被人们称为 Luttinger sum rule 或者Luttinger theorem (Luttinger 定理)。此事源于1960 年 代 Joaquin Luttinger 对于费米面所包含的面积的讨论[5],后来被 Oshikawa 用拓扑的语言以非微扰的方式证明了[6]。他们说只要是费米液体,就算是有量子多体相互作用,其费米面的面积就等于系统的电子占据数。我们以二维正方晶格系统为例,写成公式就是

此处 ν = N/L2是系统中的电子占据数,就是二维 L×L晶格上放 N 个电子,平均每个格点上的电子数,注意 ν 可以不是整数。而等式右边的 VFS 是费米面的面积,再除以(2π)2就是其占正方晶格布里渊区的比例。最后一个n 是一个整数,也就是说如果我们考虑多带的系统,那么那些填满的能带就在每个格点上贡献一个电子, n 个占据的能带就贡献 n个电子,如果只考虑单带问题时这个 n=0。所以 Luttinger 定理指出了费米液体(即使是具有相互作用的)其电子的占据数和费米面占布里渊区的比例精确对应。这是一个很有用处的结论。
我们来看一个具体的例子。如图 1所示,图 1(a)是一个自由电子系统的布里渊区和费米面,蓝色的费米面之内为电子占据态,按照 Luttinger 定理,其面积和整个布里渊区面积的比例就是系统的电子占据数 ν (就是每个格点上平均有多少个电子,再次注意,可以不是整数)。然后若要考虑相互作用的效果,我们可以让系统感受到一个反铁磁的不稳定性,即图中绿色的矢量 Q =(±π, ±π) 所示。当反铁磁长程序最终形成时,系统会进入电荷密度波的金属态,其费米面会如图 1(b)所示,原本的大费米面变成了四个小的口袋 (pocket)。乍一看,左右两边的费米面明显不相等,但是整个过程中我们没有改变电子的占据数,所以按照 Luttinger 定理,费米面和布里渊区的比例不应该变化。但是小 pocket 占的比例显然比大费米面要小,这是怎么回事呢?其实Luttinger 定理总是对的:从图 1(a)到图 1(b),系统发生了对称性破缺,图 1(b)中的反铁磁序电荷密度波与图 1(a)中无相互作用费米子具有不同的平移对称性,即图 1(b)中 的系统实空间原胞基矢比左边长了一倍,x 方向长一倍,y 方向长一倍,实空间的原胞面积就大了4倍,倒空间的布里渊区就小了4倍。在小了4倍的布里渊区中,pocket 所占的比例其实和原来的大费米面在原本的布里渊区中占的比例是相同的,也就是说,Luttinger 定理对于费米液体,不论其费米面的形状在相互作用下如何变化,总是把电子占据数和费米面的面积紧紧联系起来。

图1 Luttinger 定理和费米面的面积 (a)二维正方晶格无相互作用费米子具有一个大费米面。当其感受到反铁磁相互作用时(如在 Hubbard 模型中),反铁磁的波矢可以将费米面折叠成(b)中的小费米面,或者叫口袋(pocket)。不论是大费米面还是小费米面,其面积和布里渊区的比例就是系统中的电子占据数,即Luttinger定理。在从(a)到(b)的过程中,电子占据数没有发生改变[7]
Luttinger 定理是如此的正确和好用,以至于在许多凝聚态物理学的前沿问题中,都可以看到它的影子。比如重费米子的 Kondo lattice问题,当重费米液体形成时,人们发现此时费米面的面积变大了,大于了系统中巡游电子的费米面,如果按照 Luttinger 定理,就意味着系统中构成费米面的电子数变多了。此时,只要把局域磁矩也计入到电子的占据数中,电子的占据数就和变大后的费米面在布里渊区中的比例相等了[8]。其实 Oshikawa 当初对于 Luttinger 定理的证明,就是用的这个例子,告诉人们在重费米液体中,大费米面既有巡游电子的贡献,也应该有局域磁矩的贡献。Luttinger 定理看来如此强大,连重费米子都可以搞定,其他的关联的金属自然也不在话下。那么是不是所有金属的电子占据数都是和费米面的面积一一对应呢,这是不是又一个“历史终结论”式的结论呢?随着时间的前进,是不是还是会有渐渐 hold 不住的情况呢?
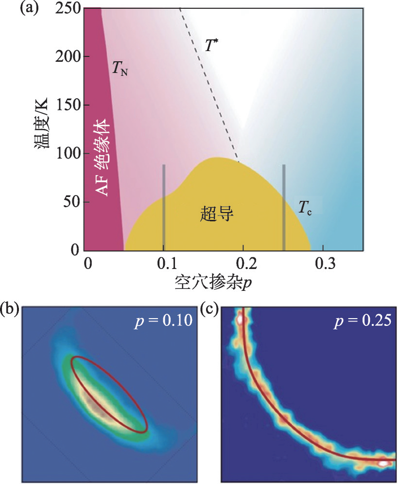
还真是,在凝聚态物理实验中,Luttinger 定理无法解释的情况是有的,其中最著名的要数高温超导体中的 Fermi arc 态。就是指人们在铜基超导体的欠掺杂区域通过角分辨光电子能谱观察到此处系统的费米面不再是闭合的圆圈或者口袋,而是变成了断裂的费米弧(Fermi arc)[9—12](顺便说一句,在高温超导赝能隙和费米弧的实验发现过程中,几位华人实验物理学家都做出了重要的贡献,[9—12]这几篇文献就是现在中国科学院物理研究所丁洪研究员和斯坦福大学的沈志勋教授早年的工作,对于关联电子领域的发展影响深远)。图2(a)为铜基超导空穴型掺杂的示意相图。如图 2(b)所示,在欠掺杂区域( p = 0.1掺 杂,电子占据数 ν = 0.9),角分辨光电子谱看到的不是红色的闭合口袋,而是断裂的弧线;而如图 2(c)所示,当系统到了过掺杂区域(p = 0.25掺杂,电子占据数 ν = 0.75) ,此时的费米面恢复成一个完整的圆圈,系统回到费米液体。在Fermi arc 区域,系统已经没有闭合的费米面,还让人怎么计算其面积?所以 Luttinger 定理在此处 hold不住,失效是无疑的了。至于有没有理论解释,这个就麻烦了,高温超导领域的物理学家们已经争论了20多年,还是没有定论,兹事体大,牵扯到人们对于图2(a)中TN之上T *之下的赝能隙区域的理解。我们在这篇文章中也不能给出答案。大家可以参看中国科学院物理研究所罗会仟在《物理》的系列文章《超导“小时代”》,一窥其丰富的内涵。我们还是说说在理论上如何严格地制造出让Luttinger定理 hold 不住的关联电子态吧。

图2 (a)铜基超导空穴型掺杂的示意相图;(b)角分辨光电子能谱观察到欠掺杂区的费米弧(Fermi arc),是没有闭合的费米面,不满足Luttinger定理,红色圆圈为量子振荡实验观察到的费米口袋(Fermi pocket);(c)角分辨光电子能谱观察到过掺杂区完整的费米面,其面积和电子占据数吻合,满足Luttinger定理[13]
我们问一个相对简单的问题,就是在量子多体模型层次上,能否设计出可以严格求解的关联电子模型,不用平均场和微扰论近似,计算出系统从满足Luttinger定理的费米液体金属到不满足 Luttinger 定理的金属的变化。答案是可以的,此处需要用到拓扑序规范场和物质场耦合的构造,也是刚刚才被蒙特卡洛计算证实的结果[14]。研究人员基于前人提出的“正交金属”的理论设想,设计出了一个可以进行量子蒙特卡洛计算的微观晶格模型,模拟费米子物质场和Z2规范场耦合这样的物理图像。通过调节系统中量子涨落的强度,蒙特卡洛模拟展示了从普通金属到具有拓扑序和没有准粒子与费米面的“正交金属”的连续相变。图 3(a)就是二维正方晶格上的正交金属模型。在格点上生活着正交费米场fi,α 与伊辛物质场Siz,将正交费米场与伊辛物质场组合可以得到真实的费米子,称为“复合费米子”ci,α = fi,α Siz 。复合费米子就是电子,具有电荷与自旋,有费米面,可以被实验观测到。而正交费米子由于不具有规范不变性,不是真实的电子,不能通过实验手段测量到。
图3 (a)在晶格格点上有正交费米场fi,α 与伊辛物质场 Siz,格点之间是Z2规范场,蓝色的椭圆代表着由正交费米场与伊辛物质场组合而成的“复合费米子”,ci,α = fi,α Siz ,复合费米子就是真正的电子;(b)费米液体金属相的布里渊区,蓝色的封闭实线就是复合费米子 ci,α 费米面,满足Luttinger定理,可以被实验观测;(c)正交金属相的布里渊区,红色的实线是正交费米场fi,α 隐藏费米面,不满足Luttinger定理,不能被实验手段观测到
在晶格模型的格点之间存在着Z2 规范场 σbz,规范场分别与伊辛物质场和正交费米场通过最小耦合的方式联系起来。伊辛物质场和Z2规范场的量子涨落是整个系统相互作用的来源。通过调节伊辛物质场的量子涨落强度,可以在这个模型上实现费米液体金属(图3(b))与正交金属(图3(c)),并研究它们之间的相变。图4上面三个图就是复合费米子的费米面从满足 Luttinger 定理的费米液体 ( 图 4(a)), 经过相变 ( 图 4(b)),到达不满足 Luttinger 定理的正交金属(图4(c))的全过程。而图4的下面三个图就是在相应的过程中,系统自旋动力学磁化率的行为。在费米液体相,系统的电子占据数与费米面的面积相等;而在正交金属相,系统已经没有了费米面,但计算却发现正交金属态仍然是一个电荷可以自由流动的金属。比如,自旋磁化率的结果表示不论是费米液体还是正交金属,其低能自旋涨落没有发生变化,就是费米液体的行为。这些现象都说明正交费米子仍然处于金属状态,有一个隐藏的费米面。

图4 从费米液体金属到正交金属的相变过程。图(a)、(b)和(c)为复合费米子的费米面的变化:图(a)处于费米液体金属,有费米面;图(b)为临界区域,费米面正在消失;图(c)处于正交金属相,没有费米面。图(d)、(e)和(f)为相变过程中的自旋磁化率。不论是在费米液体金属还是正交金属相,近似钻石型的费米面导致自旋磁化率图的中心出现4个小峰,说明费米液体金属与正交金属具有相同的磁学响应
正交金属态可以说是超越 Luttinger 定理的了,因为它虽然是导体,也具有电子填充,但是连费米面都没有,那么还怎么联系电子占据数和费米面的面积?但是,此处人们还可以像福山给“历史终结论”一样打补丁,可以说虽然正交金属没有费米面,但是如果去测量这里正交费米子fi,α 的费米面(当然这个没法做,因为fi,α 费米子不是规范不变的),还是可以找到一个符合Luttinger 定理的隐藏费米面,隐藏费米面的面积与正交费米子的占据数是一一对应的。如果把 Luttinger定理推广到可以包括随着规范变化的隐藏费米面,也就是打上这样一个补丁,那么还可以讲 Luttinger定理对于正交金属态还是适用的。
好吧,姑且听之。那么我们可以继续追问,在理论上到底存不存在就算打了补丁也补不上,让 Luttinger定理无论怎样都hold不住,彻底失效的情况呢?比如在实验中观测到的铜基超导中的 Fermi arc 状态。其实也是有的,而且可以预期会越来越多,但是考虑到大家能读到这里应该已经筋疲力尽,进入了“每个字都认识,但是连在一起就是不明白是什么意思”的混沌状态。我们还是就此打住先,待笔者使一个拖刀之计,下一篇文字中再揭示谜底吧。
总之,历史看来应该是没有终结的,每一代人都在自己的身上践行着最后的人,都在做着与命运艰难的搏斗。从科学的角度来看,也许真的不存在什么终极的组织形式,也就是人们常说的只有相对的真理,没有绝对的真理。当我们发现已经建立的规律出现漏洞的时候,其实往往是令人兴奋的时刻,这就意味着我们摸到了之前一个相对真理的适用界限,开始探索新的相对真理了。非费米液体对于费米液 体 的 超 越 应 做 如 是 观 ;Fermi arc、正交金属对于Luttinger定理的超越亦应做如是观。“自其变者而观之,则天地曾不能以一瞬;自其不变者而观之,则物与我皆无尽也。”这样辩证的观点,遥想福公深谙从康德到黑格尔再到马克思的德国古典主义哲学,也一定懂的,实在hold 不住就算了,不要再勉为其难地为“历史终结论”打补丁了吧。
参考文献
[1] 学好蒙特卡洛,不会被忽悠. https://mp.weixin.qq.com/s/1uqCWbKmIELOR8ehFvtSSw[2] Wang Y C,Qi Y,Chen S et al. Cautionon emergent continuous symmetry:AMonte Carlo investigation of the transverse- field frustrated Ising model on thetriangular and honeycomb lattices,Phys. Rev. B,2017,96:115160[3] 孟子杨. 白马非马,非费米液体—非—费米液体. 物理,2020,49(3):186[4] 孟子杨. 一生能有多少爱. 物理,2020,49(5):335[5] Luttinger J M. Fermi surface and somesimple equilibrium properties of a systemof interacting fermions. Phys. Rev.,1960,119:1153[6] Masaki O. Topological approach to Luttinger's theorem and the Fermi surface of a Kondo lattice. Phys. Rev. Lett.,2000,84:3370[7] 刘子宏. 反铁磁金属量子临界点的行列式蒙特卡洛研究. 博士学位论文,中国科学院物理研究所,2020[8] Coleman P. Introduction to Many- BodyPhysics,Chapter 17 Heavy electrons. Cambridge University Press,2015[9] Ding H,Yokoya T,Campuzano J C et al. Spectroscopic evidence for a pseudogapin the normal state of underdoped high Tc superconductors,Nature,1996,382:51[10] Loeser A G,Shen Z X,Dessau D S et al. Excitation gap in the normal state of underdoped Bi2Sr2CaCu2O8+δ. Science,1996,273(5273):325[11] Marshall D S,Dessau D S,Loeser A G et al. Unconventional electronic structureevolution with hole doping in Bi2Sr2CaCu2O8+δ.:angle- resolved photoemission results. Phys. Rev. Lett., 1996,76:4841[12] Norman M R,Ding H,Randeria M et al. Destruction of the Fermi surface inunderdoped high- Tc superconductors. Nature,1998,392:157[13] Doiron-Leyraud N,Proust C,LeBoeuf D et al. Quantum oscillations and the Fermi surface in an underdoped high Tc superconductor,Nature,2007,447:565[14] Chen C,Xu X Y,Qi Y et al. Metal to Orthogonal Metal Transition,Chin. Phys.Lett.,2020,37:0471
量子多体中的呐喊与彷徨系列:
本文选自《物理》2020年第7期
来源:中国物理学会期刊网
编辑:他和猫
| 留言与评论(共有 0 条评论) “” |