
近日,张朝阳在直播讲物理题时,提出一个普遍计算匀速运动电荷的势场题目让网友解答,以一台iPhone14作为解答者奖品。
该题被来自南京师范大学物理专业的一位女生解出,该同学表示最近在准备考研,会抽空看物理课,觉得很有意思于是尝试解答。

图片来源:视频截图
9月15日晚,相关话题冲上微博热搜。

张朝阳出物理题考网友仅一人答出:
奖励一台iPhone 14
近日,搜狐张朝阳在直播物理课时,提出了一个普遍计算匀速运动电荷的势场题目来考网友,而且承诺如果网友能答对,就送一台iPhone 14作为奖品给他。
最终一位来自江苏的女大学生给出了正确答案,并表示自己在考研,所以会学习物理课程,并通过参考教科书找到了答案。

图片来源:视频截图
在接受采访时,这名同学表示自己比较喜欢物理,觉得很有趣,起初接触到这道题目的时候,还以为挺简单,只要写出电磁场就行,但后续解答过程中发现题目真的很难。

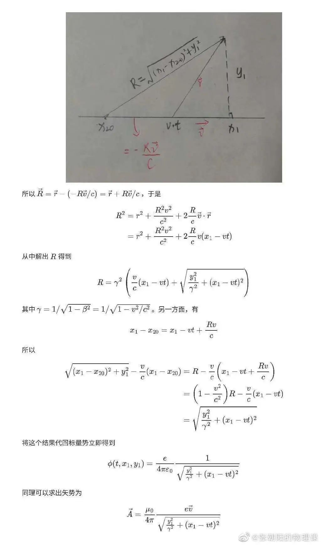
部分解体步骤
不过自己比较执拗,最后通过参考教科书,并作图转换了一下思维,才将这到题目解了出来。
该同学还称自己最近在准备考研,只有在休息的时候会去看看(张朝阳)的直播,并称他讲得很好,对于自己获得物质奖励,她则非常幽默地回应称,通过这种形式可以让更多的人了解到课堂的存在,也能让不少人认识到“原来读书还有这种用处”。
据@张朝阳物理课,9月11日张朝阳的物理课上,张老师讲解了运动电荷的电磁场和相对论效应,并提出了一个要求计算出匀速运动电荷在整个空间中的电势和磁矢势的问题。这道题被来自南京师范大学物理专业的一位女生解了出来,她的解题思路是用显式计算出推迟势的积分,最终成功地给出了完整的表达式。恭喜这位同学获得iPhone 14一台~

网友纷纷表示:“回到高中我应该也可以”“这个物理题仿佛在看英语阅读”“能不能从基础教起”……

物理课已直播八十余期
还曾科普iPhone 14配色
据消费日报,截至目前,《张朝阳的物理课》已直播八十余期,内容丰富、覆盖广泛,理论公式由浅入深、繁简交融。从去年11月开启第一节物理直播课,他先是从经典物理学开始,科普了牛顿运动定律等;而后从经典物理的“两朵乌云”说起,向近现代物理过渡,探讨了黑体辐射理论中的维恩公式、普朗克公式等知识。

此后逐步进入量子力学领域,从基础的薛定谔方程等理论内容,到氢原子波函数,再到气体定容比热的温度阶梯,并顺势讲解了热力学定律。接着回到了经典物理,推导出飞船运行轨迹,估算太阳的结构与性质以及中子星的自转速度,随后讲解了陀螺的进动,还计算出月球的潮汐高度。而现在开始讲解一些数学工具,准备进军广义相对论。
此外,近日张朝阳还在物理课上科普了iPhone 14系列的紫色配色,其表示光谱里不存在这种颜色。
据张朝阳介绍称,太阳光谱里实际上并不存在紫色,人眼看到紫色要对光谱重新叠加,所以 iPhone 14 系列的紫色比较少见同时也令人印象深刻。另外,张朝阳还表示,此次 iPhone 14 系列拥有很多强大的功能,造型设计也非常不错。
《张朝阳的物理课》的直播风格独树一帜:注重推导,通过一步一步详尽的数学计算,推导出相关的物理公式,把每个公式从头到尾拆解得十分清晰。
除了《张朝阳的物理课》外,在直播方面,搜狐视频正持续打造知识直播平台,邀请各个科学领域的头部播主入驻,进行科普知识直播。包括中国运载火箭技术研究院专家钱航,直播讲述航空航天事业发展史;北京交通大学理学院教师陈征博士线上开课——“奇趣的科学实验”;中国科学院基因组学博士、元码基因创始人田埂讲解基因组学与生活的紧密联系;天体物理博士刘博洋科普“日全食是怎么产生的”等。未来还将有更多知识播主入驻搜狐视频,一起互动玩转科学。
网友:精神内耗都被治好了
据极目新闻,近日,在搜狐视频上讲了大半年的《张朝阳的物理课》,首次在抖音同步直播,聚焦电磁学,时长超过两个小时,吸引超5000万人次在线观看。
看张朝阳当了很多年“互联网大佬”,很多人都不知道,他其实是清华大学物理系毕业,获得了麻省理工学院博士学位。张朝阳讲物理,其实是专业对口,回归初心。
在抖音的这堂课,他充分贯彻了自己的见解:“物理是算出来的”,介绍完人类发现并应用地磁波的历程和意义后,他开始在黑板上行云流水地进行公式推导,一边说着矢量微积分、散数定理、斯托克斯定理、库伦定理、高斯定理等专业名词,一边很快写满了六块黑板,推导出著名的麦克斯韦方程组。
很多网友说,看这场直播,最爽的就是公式推导成功的那一刻,感觉神清气爽,阳光灿烂,精神内耗都被治好了。或许,这就是知识的魔力,这就是科学的神奇。
来源:每日经济新闻综合自@荔枝新闻、@张朝阳的物理课、消费日报、极目新闻、公开资料等

公益广告

| 留言与评论(共有 0 条评论) “” |