1916年,第一次世界大战激战正酣。
在这一年的4月30日,远离战场的美国密歇根州佩托斯基(Petoskey),一个男婴呱呱坠地。这个男婴,就是我们这篇文章的主角——香农。
香农的全名,叫做克劳德·艾尔伍德·香农(ClaudeElwoodShannon)。他是美国著名数学家、发明家、密码学家,也是信息论的创始人。
换句话说,我们现在所有IT人和通信人的共同祖师爷,就是他。

帅哥香农
香农从小就在一个名叫盖洛德(Gaylord)的小镇生活。他的父亲,是这个小镇的法官,名字叫克劳德·艾尔伍德·香农(没错,他老爹给儿子取了和自己一毛一样的名字)。
香农的母亲,是小镇的中学校长,名叫梅布尔·沃尔夫·香农(Mabel Wolf Shannon)。
父亲是法官,母亲是校长,这样的知识分子家庭,教育氛围当然不会差。
读书时候的香农,已经表现出惊人的数学天赋。在8岁的时候,他就辅导他姐姐做高等数学作业。后来,他姐姐大学毕业,成为了数学教授。
除了数学之外,小香农特别喜欢搞发明创造,其中就包括电报机、电动船,以及各种机械动物。

小时候的香农,看上去就很叛逆
这个兴趣爱好,估计和他的爷爷有很大的关系。他爷爷是一位农场主兼发明家,发明过洗衣机和很多农用机械。
值得一提的是,香农还有一个远房亲戚,也很喜欢搞发明。这位亲戚的名字,叫爱迪生。
1936年,20岁的香农从密歇根大学本科毕业,顺利拿到了数学和电子工程双学位。随后,他进入麻省理工学院继续深造。
两年后,香农完成了他的硕士论文——《继电器与开关电路的符号分析》。
在论文中,他首次提出,可以用布尔代数来描述电路。他将布尔代数的"真"与"假"和电路系统的"开"与"关"对应起来,并用了数学中最简单的两个数字——“1”和“0”来表示。
乔治·布尔(1815-1864),英国数学家
1847年,他提出了布尔代数,这是一种计算命题真伪的数学方法。
香农的这篇论文,虽然仅仅是硕士论文,但具有划时代的意义。它奠定了数字电路的理论基础。后来出现的计算机等设备,都以此为设计思路。
后来,著名计算机科学家赫尔曼·哥尔斯坦评价这篇论文是“有史以来最重要的一篇硕士论文”,“从艺术到科学上改变了电路的设计。”
赫尔曼·哥尔斯坦
世界上第一台现代电子数字计算机ENIAC的研制者之一
因为这篇论文,香农获得了电子工程界的大奖——美国Alfred Noble协会美国工程师奖。
正当世人以为这位电子工程天才会继续大展拳脚的时候,他却没了下文。直到两年后,他发出了自己的博士论文——《理论遗传学的代数学》,并凭此获得了麻省理工的数学博士学位。
是的,这家伙玩了个跨界,竟然从电子工程学跨到了生物遗传学。

年轻时的香农(有点像福尔摩斯)
此后,香农去普林斯顿高等研究院待了一年,与爱因斯坦、冯·诺依曼等大师级人物有过交集。他的研究方向,变成了机械模拟计算机。
1941年,香农发表了新的论文——《微分分析器的数学理论》,通过机械式计算机来求解微分方程。

当时的微分分析器
同年,香农加入了著名的贝尔实验室(此后一直工作到1972年)。
最开始进入贝尔实验室的时候,香农是去的数学部,从事和战争相关的工作——研究火力控制系统和密码学。
他所在的密码破译团队,主要负责追踪纳粹德国的飞机和火箭。他还用数学手段,推导了X系统的安全性。这个X系统,就是指英国首相丘吉尔和美国总统罗斯福之间的专用电话线路。
1943年,英国著名数学家、密码学家阿兰·图灵访问贝尔实验室,并与香农共进午餐。

阿兰·图灵(1912-1954)
鉴于两人的特殊工作性质,他们并没有进行密码学的交流,反而更多的是讨论人造思维机器(也就是后来的AI人工智能)。
当时,香农告诉图灵,他不仅仅满足于向这台“大脑”里输入数据,还希望把文化的东西灌输进去。
这个想法震惊了阿兰·图灵,他感到非常不可思议,惊呼道:“他(香农)想给它来点音乐!”
后来,随着对密码研究的不断深入,香农逐渐形成了一套完整的密码学理论。与此同时,他开始思考有效通信系统的问题。现代信息论的思想雏形,逐渐在他的脑海里形成。
1945年,他向贝尔实验室提交了一份备忘录——《密码学的一个数学理论》。
1948年6月至10月,香农在《贝尔系统技术杂志》连载了那篇改变人类社会发展轨迹的论文——《通信的数学理论》。次年,香农又在该杂志发表了另一篇著名论文——《噪声下的通信》。
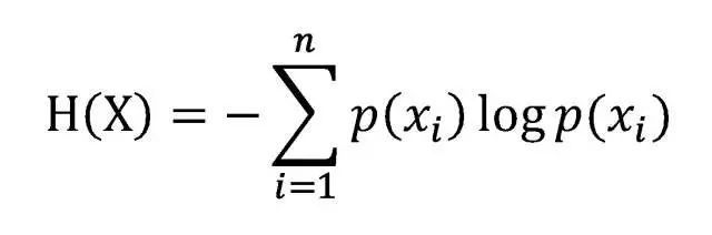
在这两篇论文中,香农给出了通信系统的基本模型,提出了信息熵的概念以及数学表达式。

计算信息熵H的公式
大家如果是工科出身且还记得通信原理的话,就知道,一条信息的信息量大小,和它的不确定性有直接关系。
举个例子:如果我告诉你,世界是圆的(准确地说,地球近似是椭球形)。这种非常确定的内容,信息量是0(等于一句废话)。如果我告诉你,XX树下埋了一百万美金,那这个信息量就很大。上面那个公式,就是根据确定性大小算信息量的。
香农指出,信息是可以被量化的,用数字编码可以代表任何类型的信息。信息进行数字化后,可以经压缩再传输,极大地减少传输时间和传输成本。
香农还推出了比特的概念(他将发明这个词的荣誉归功于自己的同事约翰·图基),将其称为“用于测量信息的单位”。
bit
比特(bit),其实就是二进制数(binary digit)的缩写。
众所周知,比特后来成为了信息时代的基石。我们今天在互联网上所有的信息,都在用它来表达。
除了信息熵之外,香农还在论文中提出了大名鼎鼎的香农公式。
香农公式
简单来说,信息熵讨论的是信息量及数据压缩的临界值。而香农公式,则是讨论通信速率的极限值。
具体细节我们就不讨论了哈,不然人都跑光了。
我们只需要知道,直到现在的5G,我们还没有逃脱香农公式的“魔爪”。有些人一辈子干的事,就是无限逼近香农公式的极限。
两篇论文的发表,奠定了信息论的基础,对学术界造成了巨大的震动,影响力丝毫不亚于1947年12月世界上第一个晶体管的发明(同样来自贝尔实验室)。
当时,因为信息论的观点非常超前,还引起了一些质疑和反对。后来,随着时间的推移,信息技术迅速发展,信息论的价值越发显现,香农也确立了自己“信息和通信双料祖师爷”的地位。
忘了说了,发表论文时的香农,才33岁。

1949年,香农在备忘录《密码学的一个数学理论》的基础上,又发表一篇重要论文——《保密系统的通信理论》。
这篇论文再次震惊学术界。波士顿环球报称:“这一发现将密码从艺术变成为科学”。
论文开辟了用信息论来研究密码学的新思路,奠定了现代密码理论的基础。香农也凭此成为近代密码理论的奠基者和先驱。

1949年3月27日,香农迎娶了自己在贝尔实验室的同事,玛丽·伊丽莎白·摩尔(Mary Elizabeth Moore),然后继续从事自己热爱的科学研究工作。

1952年,香农夫妇共同推出了著名的“会走迷宫的老鼠”——忒修斯。

香农和忒修斯
这是一只木制的、带有铜须的玩具老鼠。它能通过不停地随机试错,穿过一座由金属墙组成的迷宫,直到在出口处找到一块金属的“奶酪”。

最厉害也最具独创性的是:“忒修斯”能够记住这条路线,甚至在下一次任务中,迷宫的墙壁有所移动,都难不倒它。
当时,香农还专门拍摄了一段影像,制作成电视节目,展示这只老鼠。这个节目引起了公众的极大兴趣,在人们看来,这就是一只“会思考”的老鼠啊。
其实,走迷宫的秘诀并不在老鼠身上,而是在迷宫上。迷宫各处隐藏了75个继电器开关,通过这些简单的只具有开关功能的设备,最终实现了老鼠的所谓“智能”。

1956年,香农成为麻省理工学院(MIT)的客座教授。1958年,成为终生教授。
1961年,香农和同事索普做出一个香烟盒大小的小型计算机,小盒子藏在口袋里,用大脚趾控制藏在鞋子里的开关。这个设备用来干什么呢?用来预测赌场的轮盘结果,计算小球落在轮盘不同位置的概率。
凭借这个设备,他们俩还真的在拉斯维加斯赢到了钱。后来,因为被盯上,所以赶紧放弃并离开了。
香农另一个著名的发明,是一个会下国际象棋的机器。这个机器用了150个继电器开关,具备不错的计算能力。1965年,香农带着这个机器跑去挑战当时的世界冠军Mikhail Botvinnik。虽然最后还是输了,但表现不赖。

1973年,在以色列阿什凯隆召开的信息论国际研讨会上,IEEE命名了香农奖,并把这一奖项授于香农本人。这种自己领自己名字命名的奖的做法,后来被人戏称为“香农套路”。
1985年,在英格兰布莱顿举行的“国际信息理论研讨会”上,香农突然现身,引起了全场轰动。参加会议的年轻学者简直不敢相信自己的眼睛,竟然亲眼看见了信息理论的祖师爷!更让人瞠目结舌的是,香农竟然在会场上表演起了抛物杂耍,让整个会场更加沸腾。
香农当年还是投资大师、炒股高手,擅于采用套利的手法,迅速赚取财富。
1986年8月11日,著名的《巴伦周刊》曾汇总了1026家共同基金的近期表现,香农排名第一。
刚才我们提到香农在会场表演抛物杂耍。其实,香农终身都热爱杂耍。在很年轻的时候,他就学会了骑独轮车和抛接球。当年在贝尔实验室上班的时候,他经常特立独行地骑独轮车去上下班,成为一道靓丽的风景线。

被科学耽误了的杂技天才
到了晚年时期,香农对杂耍的热爱简直到了痴迷的地步。他花了很多时间刻苦练习,不断提高杂耍水平。他甚至还拥有一张杂耍学博士证书,视为至宝。

除了杂耍之外,他还热衷于制造玩具。他建造了火焰喷射喇叭、火箭驱动飞盘、自动下棋机器人等各种奇怪的玩具。
在后来人工智能先驱马文·闵斯基的启发下,他设计了一个被称为“终极机器”的机器人。当你把开关拨到“开”,盒子打开并伸出一个机械手,它把开关拨回到“关”,然后机械手缩回到盒子里去。

“终极机器”……
在马萨诸塞州温彻斯特香农的家中(香农称为“熵宅”),堆满了他的小发明。他的车库中存放了至少30辆奇特的独轮车,其中包括一个没有脚蹬的独轮车,一个是方形的轮胎的独轮车,一个特为两个人骑的独轮车。

真正的老顽童
香农还把玩杂耍上升到理论的高度,开始撰写《统一的杂耍场理论》。
遗憾的是,这篇作品还没有完成,香农就因阿尔兹海默症于2001年2月26日去世了,享年85岁。
著名学者理查德·布拉胡特(Richard Blahut)教授在香农雕像(位于香农老家盖洛德镇)的落成典礼上,是这么评价香农的:
“在我看来,两三百年之后,当人们回过头来看我们的时候,他们可能不会记得谁曾是美国的总统。他们也不会记得谁曾是影星或摇滚歌星。但是仍然会知晓香农的名字。学校里仍然会教授信息论。”
致敬!伟大的信息论之父——克劳德·艾尔伍德·香农!

—— The End ——
参考文献:
1、香农的信息论究竟牛在哪里,知乎,科言君
2、“信息时代之父”香农:用一只木老鼠奠定人工智能的基础,大科技杂志社
3、香农传:从0到1开创信息时代,中信出版社,吉米·索尼,罗博·古德曼
4、信息论,一个撬动地球的支点,坤鹏论
5、香农 Claude Shannon 有哪些奇闻轶事,知乎
6、信息论之父香农,丁玖
7、克劳德·艾尔伍德·香农,百度百科词条
转载内容仅代表作者观点
不代表中科院物理所立场
如需转载请联系原公众号
来源:鲜枣课堂
编辑:利有攸往
| 留言与评论(共有 0 条评论) “” |