*仅供医学专业人士阅读参考

新型ADC药物T-DXd捷报频传,不断夯实霸主地位,继写奇迹!
抗HER2靶向药物的发展为HER2阳性乳腺癌总的生存获益带来了极大的改善,但部分患者不得不面对疾病的复发或肿瘤进展。近年来,随着ADC药物的蓬勃兴起,尤其是新型ADC药物T-DXd,其高效低毒、精准靶向的独特药物属性打破了HER2阳性晚期乳腺癌的治疗束缚,为此类患者的生存带来新的希望。2022年12月6日-10日,美国圣安东尼奥乳腺癌研讨大会(SABCS)盛大召开,多项ADC药物的最新数据陆续公布,可谓硕果累累,精彩纷呈。其中,DESTINY-Breast系列研究的最新成果更是点亮全场,让T-DXd再次震撼世界!
走向巅峰,重塑格局
T-DXd出道即引领肿瘤治疗新时代
20世纪初,德国诺贝尔奖得主Paul Ehrlich就首次构思了“魔法子弹”的概念——将毒性药物递送至某些细胞[1-2],这主要由于细胞毒性化疗药带来的系统毒性限制,很少能为癌症患者带来长期缓解。单克隆抗体(mAb)的高效杀伤效果为肿瘤的治疗带来巨大成功,为进一步提升实体瘤的治疗效果,利用抗体特异性的结合性质,将细胞毒性效应分子通过偶联技术与抗体相结合的方式,即ADC药物的雏形,为癌症的治疗提供了新的可能与前景。
随着靶点和适应症的不断扩大,ADC药物逐渐引领恶性肿瘤靶向治疗的新时代,尤其是在HER2阳性乳腺癌领域。新型ADC药物T-DXd最初在既往中位治疗6线的HER2阳性乳腺癌患者中显示出极佳的疗效,mPFS达到19.4个月,mOS达到29.1个月,并因此成为备受乳腺癌领域学者重点讨论和关注的热点。此后,DESTINY-Breast系列研究相继公布,T-DXd以其卓越数据走向巅峰,重塑了HER2阳性晚期乳腺癌治疗新格局。
砥砺前行,从临床研究至真实世界
T-DXd实力守护HER2阳性乳腺癌患者
DESTINY-Breast03研究更新,PFS超过4倍,再显二线治疗地位
既往DESTINY-Breast03研究中期分析数据[3]时,T-DXd的疗效已大幅优于T-DM1,显示出史无前例的无进展生存期(PFS)改善,疾病进展或死亡风险下降72%。主要研究终点盲态独立评审委员会(BICR)评估的PFS,T-DXd组对比T-DM1组为未达到(NR) vs. 6.8个月;HR=0.28(95%CI,0.22-0.37);P < 0.001。关键次要研究终点总生存期(OS),由于事件数太少,两组间虽然显示出改善的趋势,但差异未达到统计学显著。因此,后续数据的更新,为关注者留下诸多期待。
本次SABCS大会主旨报告中,DESTINY-Breast03研究更新数据发布[4],T-DXd再次超出预期,在既往接受过曲妥珠单抗和紫杉烷治疗或曲妥珠单抗联合帕妥珠单抗和紫杉烷治疗的患者中,T-DXd的中位PFS较T-DM1长4倍(28.8个月 vs. 6.8个月),延长22个月,PFS获益又一次突破记录,为当前HER2+晚期乳腺癌诊疗方案中最长的PFS。

图1. DESTINY-Breast03研究更新的PFS结果
同时,OS也显示出显著获益,差异达到统计学显著性,T-DXd相比T-DM1降低患者死亡风险36%。由于两组OS事件数均未过半,两组的OS均未达到。两组的2年总生存率分别为77.4%和69.9%,从公布的KM曲线来看,后续的两组的差异可能会随着随访时间的延长越来越明显。而且,在预先设定的关键亚组中观察到一致的OS获益。

图2. DESTINY-Breast03研究更新的OS结果
此外,更新的ORR数据与既往报道一致,T-DXd组有21.1%的患者达到肿瘤完全缓解,超过1/5的患者达到RECIST 1.1标准的肿瘤完全消失,且中位DOR达到36.6个月,意味着相当一部分患者可以获得深度缓解并可能长期维持疾病不进展,这也是前所未有的数据。

图3. DESTINY-Breast03研究更新的ORR等结果
值得注意的是,DESTINY-Breast03研究中PFS2也获益显著。PFS2反映了从随机化至患者第二次出现疾病进展的时间,包含研究用药以及进展后用药的两个治疗阶段,可以体现研究用药对后续治疗的影响,进而为临床治疗决策提供有价值的参考。该研究中T-DXd组对比T-DM1组经研究者评估的中位PFS2为40.5个月 vs. 25.7个月(HR=0.47,95%CI 0.35-0.62)。两组分别有70.8%和78.6%的患者接受了后续抗肿瘤治疗,其中T-DM1组有17.3%的患者使用了T-DXd。即便T-DM1组二线治疗进展后允许交叉接受T-DXd治疗,T-DXd组仍然具有更长的PFS2。

图4. DESTINY-Breast03研究中PFS2数据
随着治疗持续时间的延长,T-DXd继续表现出可管理且可耐受的安全性特征,即T-DXd组和T-DM1组中≥3级治疗相关不良事件(TEAE) 的发生率相似;未发生4级或5级与药物相关的间质性肺炎(ILD)/非感染性肺炎事件。

图5. DESTINY-Breast03研究的安全性结果
DB03研究更新的结果显示,T-DXd 具有显著的OS和PFS获益,同时,更长的随访时间进一步证明T-DXd的安全性进一步支持T-DXd作为HER2阳性转移性乳腺癌患者的二线标准治疗。
完美验证,DESTINY-Breast02有力支持T-DXd在HER2阳性转移性乳腺癌中的获益
T-DXd在T-DM1经治的II期单臂DESTINY-Breast01研究中表现出稳健的活性,从而获得了全球监管批准[5-6]。作为DESTINY-Breast01的确证性试验,DESTINY-Breast02研究旨在对比T-DXd与医生选择的治疗(TPC)在T-DM1经治的HER2阳性不可切除和/或转移性乳腺癌患者中的疗效与安全性。
本次SABCS大会公布的数据中,DESTINY-Breast02研究[7]毫无悬念达到主要研究终点:BICR评估的中位PFS显著延长,为17.8个月 vs. 6.9个月(HR,0.3589;95%CI,0.2840-0.4535;P < 0.000001),T-DXd组相比TPC组降低疾病进展或死亡风险64%。T-DXd组在24个月时有42.2%的患者仍未发生疾病进展,而TPC组仅13.9%。

图6. DESTINY-Breast02研究的PFS结果
关键次要终点OS方面,两组的中位OS分别为39.2个月和26.5个月(HR, 0.6575;95%CI;0.5023-0.8605;P=0.0021),T-DXd组相比TPC组显著延长12.7个月,降低患者死亡风险34%,差异达到统计学显著性。值得一提的是,TPC组在试验治疗发生进展后,有25.7%的患者在后续治疗中接受了T-DXd的治疗,这可能对两组的相对获益有所影响,在此情况下T-DXd仍显著延长OS,实力凸显其强大的治疗获益。

图7. DESTINY-Breast02研究的OS结果
其他次要终点和探索性终点方面,T-DXd组相比TPC组也都显示出优效性。T-DXd组对比TPC组的客观缓解率(ORR)为69.7% vs. 29.2%,中位持续缓解时间(DoR)为19.6个月 vs. 8.3个月。此外,该研究对PFS2也进行了分析,T-DXd组的PFS2显著长于TPC组(35.8 vs. 15.8个月)。由此可见,T-DXd治疗带来的PFS获益并未影响到后续治疗,并最终体现到OS的显著获益。

图8. DESTINY-Breast02研究的次要终点和探索性终点
在DESTINY-Breast02研究中,T-DXd的总体安全性与既往研究一致,未观察到新的安全性信号,T-DXd组的ILD发生率为10.4%(1/2级事件,9.2%)。与DESTINY-Breast01研究相比,本研究中观察到的5级 ILD事件较少(即为0.5% vs. 2.7%)。
DESTINY-Breast02研究重复了DB01研究的疗效,充分验证了T-DXd在HER2阳性转移性乳腺癌中三线及以上治疗方案的有效性。而通过与同期公布的DESTINY-Breast03研究疗效数据(PFS:T-DXd vs T-DM1 28.8 vs 6.8个月)对比发现,二线的mPFS 28.8个月显著优于三线的mPFS 17.8个月,ORR分别为78.5% vs 69.7%,可以看出T-DXd越早线使用,mPFS,ORR越高,T-DXd应用于二线和三线的疗效差异明显,二线显著优于三线,且二线的安全性更好, 从获得最佳疗效的角度,支撑T-DXd应该用于更早的二线。这表明DESTINY-Breast02不仅仅巩固了DESTINY-Breast01研究成果,并且在一定程度上支持了DESTINY-Breast03,为T-DXd更早用于二线治疗提供依据。
攻克脑转移,T-DXd或成为BM和/或LMC HER2阳性乳腺癌的新选择
乳腺癌是脑转移是临床中的一大治疗难题,尤其是HER2阳性乳腺癌,相比其他临床亚型脑转移(BM)发生率更高。20%-50%的HER2阳性转移性乳腺癌患者会发生BM。12%-43%的乳腺癌患者会发生软脑膜转移(LMC),预后更差[8-9] 。对于伴有BM和/或LMC的HER2阳性乳腺癌患者,其治疗选择有限。既往DESTINY-Breast01和DESTINY-Breast03研究结果均证实了T-DXd在稳定性BM HER2 阳性乳腺癌患者中的临床获益,然而两项研究中纳入的BM乳腺癌人群较少,且不包括活动性BM和/或LMC患者。ROSET-BM研究旨在评价T-DXd对伴有BM和/或LMC的HER2阳性乳腺癌患者的有效性。
2022年SABCS大会中,ROSET-BM研究结果[10]显示,T-DXd在伴有BM HER2阳性乳腺癌患者中表现出有效性和临床获益,与之前报道一致。中位随访11.2个月,总人群中位PFS为16.1个月,OS未达到。

图9. ROSET-BM研究总人群生存获益
在按BM分类的总体人群中,活动性BM和稳定性BM乳腺癌患者的中位PFS分别为13.4个月和14.6个月,而LMC患者则尚未达到;中位OS数据三类人群均未达到。这表明,在少数LMC患者中,T-DXd实现了持续的全身性疾病控制,LMC人群也可从T-DXd的治疗中获益。

图10. 总人群中的PFS和OS
在89例有脑部病灶成像数据的患者中(基线和随访时),51例符合脑成像评估标准,该部分人群经独立中心评审(ICR)评估的ORR为62.7%(48.1-75.9),6个月时的IC-临床获益率(CBR)为70.6%。中位IC-PFS为16.1个月,其中,活动性BM患者的IC-PFS为16.1个月,稳定性BM患者未达到;LMC患者的中位IC-PFS为12.2个月。

图11. 脑成像人群的IC-PFS
此外,T-DXd在伴或不伴BM(和/或LMC)患者中的安全性特征相似,可见T-DXd在此类人群中安全可控。另外由于ROSET-BM为回顾性研究,未来仍需进一步探索与研究。相信随着更多ADC循证证据的出现,将为乳腺癌脑转移患者带来新的治疗希望。
彰显成效,真实世界中T-DXd仍可获益
DESTINY-Breast系统临床研究中的结果,让我们看到T-DXd对乳腺癌治疗格局的改变不再是梦,ADC药物在肿瘤治疗中的地位已不可忽视!然而,真实世界中HER2阳性转移性乳腺癌的情况更为复杂。在未经临床筛选的乳腺癌人群中,T-DXd能否依然保持其临床优势,彰显既往治疗疗效?意大利DE-REAL研究进行回顾性研究,旨在描述T-DXd在真实世界人群中的临床转归、毒性和药物相互作用 (DDI)。
DE-REAL研究[11]入组的143例患者中,分别有4例 (3%)、17例 (12%)、41例 (29%) 和81例 (56%) 患者将T-DXd 作为一线、二线、三线或后续治疗,患者平均接受了4次治疗(范围1-11次)。使用Drug-PIN®(个性化互动网络)定义每例患者的DDis、Drug-PIN®评分和Drug-PIN®分层(绿色表示无显著药物相互作用(DDI),黄色、深黄色、橙色、红色表示DDI增加)。

图12. DE-REAL研究中患者的缓解数据
结果显示, 在114例可测量疾病患者中,ORR为68%(完全缓解的6%)。8例 (7%) 患者对 T-DXd 原发性耐药。中位PFS尚未达到,总体人群的1年PFS率为56.7%。接受一线或二线治疗的患者与接受后续治疗的患者相比,12个月时的PFS率为100% vs 54.1% (p = 0.094)。
在安全性方面,80例患者 (56%) 登记了任何等级的毒性。最常见的严重毒性为中性粒细胞减少、恶心/呕吐和ILD,分别见于14、2和2例患者。在使用任何药物的患者中,中位Drug-PIN®评分为6.3(范围1.7-190)。绿色、黄色、深黄色和红色Drug-PIN®分层分别有127、11、3和2例患者。令人兴奋的是,该研究中未报告新的安全性问题。DDI似乎与特定毒性相关,如虚弱和ILD。

图13. DE-REAL研究中的安全性结果
真实世界研究DE-REAL证实,T-DXd在未经选择的真实人群中有效且安全,即使在多线经治的患者中,T-DXd仍安全有效。T-DXd在真实世界中的临床优效性及可控的安全性,极大地彰显T-DXd在HER2阳性转移性乳腺癌人群的治疗价值!
布局后线,T-DXd耐药患者的临床治疗方案
ARX788是一种位点特异性ADC药物,由抗HER2抗体与高效微管蛋白抑制剂AS269连接组成,采取了非天然氨基酸偶联技术和不可裂解的连接子。对于既往接受过T-DM1、T-DXd和/或含图卡替尼方案治疗的HER2阳性转移性乳腺癌患者,全球 II 期单臂ACE-Breast-03研究探索了ARX788在此类人群中的疗效和安全性。

图14. ADC药物ARX788的结构
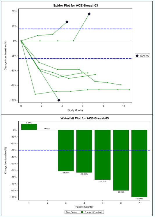
2022年SABCS大会上,ACE-Breast-03研究[12]公布其部分研究数据。结果显示,ARX788为既往 T-DM1治疗期间发生疾病进展(PD)的患者提供了临床获益。4/7例既往经治患者还接受过HER2酪氨酸激酶抑制剂(TKI)治疗。该项研究确认的ORR为57.1%(4/7例患者),未确认的ORR为71.4%(5/7例患者)。疾病控制率(DCR)为100%(7/7例患者)。目前ARX788治疗仍在继续,中位治疗时间为7.2个月。在安全性方面,ARX788耐受性良好,AE可控。

图15. ACE-Breast-03研究结果
在ACE-Breast-03研究中,ARX788在T-DM1经治且出现疾病进展的患者组成的小型队列中表现出的良好的临床活性和具有可管理的AE特征,或为ADC药物耐药后的治疗策略提供新的思考与希望。
未来可期,机遇与挑战并存
ADC药物的未来探索
ADC药物展现的广阔前景和疾病治疗潜力,使其成为乳腺领域的突破创新。其中,新型ADC药物T-DXd不仅大幅改善了HER2阳性晚期乳腺癌患者的预后,还重新定义了HER2阳性晚期乳腺癌的二线治疗标准,更在基线脑转移的HER2阳性晚期乳腺癌患者中展现出令人鼓舞的颅内缓解率和PFS获益,无论是活动性脑转移还是稳定性脑转移均展现出不俗的疗效。尤其是在脑转移伴LMC患者中获得突破性进展。随着ADC技术的进步,和对ADC消灭肿瘤的机制的深入研究,新的ADC药物以及新的联合用药模式均在展开新的探索,以期更好的满足HER2阳性乳腺癌患者的治疗需求。
开放多元,T-DXd新的联合用药策略研究
为观察T-DXd与其他抗癌药物的联合应用疗效,1b/2 期、多中心、开放标签、模块化DESTINY-Breast07研究正在进行T-DXd联合其他药物治疗HER2阳性乳腺癌的多模式探索。该研究的第一部分(剂量探索)包括T-DXd+度伐利尤单抗、帕妥珠单抗、紫杉醇、度伐利尤单抗+紫杉醇、图卡替尼等5个模块;第二部分(剂量扩展)则包括T-DXd单药、前述5个模块以及T-DXd单药或联合图卡替尼用于活动性脑转移患者等8个模块。
本次SABCS大会公布了DESTINY-Breast07研究中T-DXd单药+帕妥珠单抗一线治疗HER2阳性晚期乳腺癌的初步分析结果。DESTINY-Breast07结果[13]显示,两组分别有73.9%和72.7%的患者继续接受治疗,单药治疗组和联合组的未确认ORR(80% CI)分别为82.6%(68.2%-92.2%)和77.3%(61.9%-88.5%)。在安全性方面,≥3级不良反应事件(AE)的发生率分别为30.4%和40.9%,严重AE发生率分别为8.7%和13.6%。单药组中1例患者发生药物相关间质性肺病(ILD)/肺炎。两组各发生1例死亡事件。在疾病缓解方面,单药组中87.0%的患者观察到肿瘤缩小,联合组中为81.8%。

图16. DESTINY-Breast07研究结果
总体而言,T-DXd单药和联合帕妥珠单抗一线治疗HER2阳性晚期乳腺癌均展现出具有前景的抗肿瘤活性,并且不良反应特征与T-DXd既往研究中报告的一致。临床前研究表明,帕妥珠单抗可能诱导T-DXd内化和抑制HER2驱动的信号传导。这些结果支持T-DXd单药或联合帕妥珠单抗一线治疗在更大型临床试验的应用。既往大会还报道了T-DXd+帕妥珠单抗的剂量探索结果,期待其他联合用药模式探索性结果的公布,未来为临床提供更多的联合用药策略,带来更优的生存结局。
持续探索,T-DXd在小病灶HER2阳性乳腺癌的治疗
ATEMPT研究(TBCRC033)[14]是目前正在进行的一项对于小病灶HER2阳性乳腺癌,探讨T-DM1对比每周应用紫杉醇和曲妥珠单抗的临床疗效。对于小病灶(≤2cm)HER2阳性乳腺癌,现众多学者仍在探索以最小毒性的有效治疗取得更好的治疗效果,如能否免除蒽环类药物的使用,是否可缩短曲妥珠单抗给药时间(如6个月给药)等。期待该项研究结果的公布,进一步指导临床实践。
不断精进,双特异性抗体在HER2阳性晚期乳腺癌人群的探索
KN026是一种新型双特异性抗体,可同时与两个不同的 HER2 表位结合。本次SABCS大会上,一项针对KN026在未经治晚期HER2阳性乳腺癌患者中的研究公布其初步结果。该项II项临床研究共计入组57例患者,KN026+标准剂量多西他赛的ORR为76.4%,DoR为24.0个月。任何TEAE为100%;≥3级TEAE 为 57.9%。从研究结果可见,作为新型双特异性抗体,KN026+化疗在未经治复发/转移性HER2阳性乳腺癌人群中具有良好的耐受性,且一线治疗的临床获益大有前景。
随着新型抗肿瘤药物在乳腺癌领域的深耕与探索,HER2治疗边界不断拓宽,治疗疗效不断突破。未来,期待更多ADC药物及双特异性抗体等新药不断涌现,带来更加多元的治疗策略应用于乳腺癌临床诊疗实践。同时,也希望ADC药物的后线探索有所突破,排兵布阵更加精准,进一步丰富ADC药物的临床布局,使患者治疗获益最大化!
专家简介

欧阳取长 教授
湖南省肿瘤医院乳腺内科主任,主任医师,研究生导师
中国临床肿瘤学会(CSCO)乳腺癌专家委员会常务委员
中国抗癌协会乳腺癌专业委员会委员
中国医师协会肿瘤专业委员会乳腺癌学组常务委员
国家抗肿瘤药物临床应用监测专家委员会委员
国家肿瘤质控中心乳腺癌专家委员会委员
中国研究型医院学会精准医学与肿瘤MDT专业委员会乳腺学组副组长
湖南省医学会肿瘤内科学专业委员会主任委员兼乳腺癌学组组长
湖南省妇幼保健与优生优育协会妇科与乳腺肿瘤防治专业委员会主任委员
《肿瘤药学》副主编
参考文献
[1]Ehrlich, P. in The Collected Papers of Paul Ehrlich 596-618 (Pergamon, 1956).
[2]Strebhardt, K. Ullrich, A. Paul Ehrlich’s magic bullet concept: 100 years of progress. Nat. Rev. Cancer 8,473–480 (2008).
[3]Cortés J, et al. Trastuzumab Deruxtecan (T-DXd) vs Trastuzumab Emtansine(T-DM1) in Patients With HER2+ Metastatic Breast Cancer: Results of the Randomized. Phase 3 Study DESTINY-Breast03. 2021ESMO, LBA1.
[4]Hurviz SA, et al. Trastuzumab deruxtecan versus trastuzumab emtansine in patients with HER2-positive metastatic breast cancer: Updated results of the randomized, phase 3 study DESTINY-Breast03. 2022SABCS, GS2-02.
[5]Perez J et al. Trastuzumab deruxtecan in HER2-positive metastatic breast cancer and beyond. Expert Opin Biol Ther. 2021;21:811-824.
[6]Modi S et al. Trastuzumab Deruxtecan in Previously Treated HER2-Positive Breast Cancer. N Engl J Med 2020;382:610-621.
[7]Krop I, et al. Trastuzumab deruxtecan vs physician’s choice in patients with HER2+ unresectable and/or metastatic breast cancer previously treated with trastuzumab emtansine: Primary results of the randomized phase 3 study DESTINYBreast02. 2022SABCS, GS2-01.
[8]Leone JP, et al. Systemic Therapy of Central Nervous System Metastases of Breast Cancer. Curr Oncol Rep 21: 49. 2019.
[9]Pestalozzi BC. et al. CNS relapses in patients with HER2-positive early breast cancer who have and have not received adjuvant trastuzumab: a retrospective substudy of the HERA trial (BIG 1-01). Lancet Oncol 14: 244-248, 2013.
[10]Yamanaka T, et al. Trastuzumab deruxtecan for the treatment of patients with HER2-positive breast cancer with brain and/or leptomeningeal metastases: A multicenter retrospective study (ROSET-BM study). 2022SABCS. Abstract PD7-01.
[11]DE-REAL: Italin multicenter experience of Transtuzumab Deruxtecan in a real world setting. 2022SABCS. Abstract P1-11-13.
[12]Hurvitz SA, et al. ACE-Breast-03: Efficacy and safety of ARX788 in patients with HER2+ metastatic breast cancer previously treated with T-DM1. Abstract PD18-09.
[13]Hamilton EP, et al. Dose-Expansion Study of Trastuzumab Deruxtecan as Monotherapy or Combined With Pertuzumab in Patients With Metastatic HER2+ Breast Cancer in DESTINY-Breast07 (DB-07).2022SABCS, Abstract PD-18-11.[14]Adjuvant Trastuzumab Emtansine Versus Paclitaxel plus Trastuzumab for Stage I HER2+Breast Cancer: 5-year results and correlative analyses from ATEMPT (TBCRC033). 2022SABCS. POSTER,1309260.
[15]Zhang QY, et al. Efficacy and safety results of KN026, a HER2-targeted bispecific antibody combined with docetaxel in first-line treatment of HER2 positive recurrent/metastatic breast cancer. 2022SABCS, Abstract 1309032.
*此文仅用于向医学人士提供科学信息,不代表本平台观点


| 留言与评论(共有 0 条评论) “” |