*仅供医学专业人士阅读参考

中国数据证实HER2-low可作为不同于HER2-0乳腺癌的新类型。
HER2低表达(HER2-low)约占总体乳腺癌的50%,既往由于缺乏针对性的治疗药物,往往被归类到HER2阴性乳腺癌的范畴。近年来,得益于新型ADC药物的涌现,HER2-low乳腺癌患者也获得了靶向治疗的机会,并成为一个新的临床治疗分型,越来越受到领域学者的重点关注。既往已有来自西方国家数据库或临床试验汇总分析,针对HER2-low的临床病理学、预后相关性等方面进行了报道,但是来自中国的数据相对缺乏。最近,一项研究基于中国国家癌症中心数据库对HER2-low和HER2-0转移性乳腺癌 (MBC)的临床病理特征、生存期进行了比较,并根据HR状态和HER2 IHC状态进行分析[1]。该研究结果对于进一步认识HER2-low肿瘤,并且开发新的临床治疗策略具有重要意义。特将该研究重点内容梳理如下,以飨读者。
研究方法
回顾性总结在中国国家癌症中心接受治疗的乳腺癌患者的病历资料。使用中国国家癌症中心数据库识别2005年1月至2015年12月期间诊断的MBC患者。
纳入患者符合以下标准:
(一)组织学证实为乳腺癌,雌激素受体 (ER)、孕激素受体 (PR)、HER2状态可靠,由中国国家癌症中心病理科2名乳腺癌病理医师审阅并报告。根据美国病理学家学会(CAP)制定的最新指南,ER/PR阳性定义为IHC核染色肿瘤细胞≥10%阳性,在2010年4月后还需要满足≥1%。
(二)HER2阴性乳腺癌,基于原发性肿瘤样本,通过IHC和/或ISH评估HER2状态。HER2阴性定义为IHC评分为0~1+或IHC 2+,且根据最新版本的美国临床肿瘤学会 (ASCO)/CAP指南诊断MBC时无ISH扩增。本研究统一了术语HER2-zero(IHC 0) 和HER2-low(IHC 1+/IHC 2+伴ISH阴性)。
(三)复发性或转移性乳腺癌,排除HER2状态未知或不明确的患者。
提取患者的人口统计学、临床病理特征、疾病复发部位和生存信息。总生存期 (OS) 定义为从初始转移诊断至因任何原因死亡或末次随访日期的时间。采用Kaplan-Meier法估计OS,采用log-rank检验进行比较。使用Cox回归模型及95%置信区间 (95%CI) 分析与 OS相关的预后因素。
研究结果
1
基线患者特征
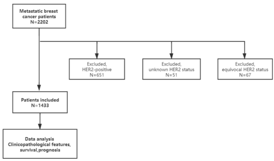
研究共筛选2005年1月至2015年12月在中国国家癌症中心诊断的2202例MBC患者。排除了HER2过表达(n=651)、HER2状态未知(n=51)和HER2状态不明确(n=67)的患者(图1)。

图1. 研究流程图
在本研究纳入的1433例HER2阴性患者中,618例 (43.1%) 为 HER2-low肿瘤,815例 (56.9%) 为 HER2-0肿瘤(表1)。在618例HER2-low肿瘤患者中,454例 (31.7%) 为HER2 IHC 1+,164例 (11.7%) 为HER2 IHC 2+(图2)。按HR状态分层时,1045例 (72.9%) 患者为HR阳性,388例 (27.1%) 患者为HR阴性,即三阴性乳腺癌(TNBC)(表1)。

图2. 按照HR状态和HER2 IHC评分对HER2阴性进行分层
HER2-low MBC患者中,HR阳性的百分比高于HER2阴性肿瘤患者(p < 0.001;图2)。特别是HER2 IHC 2+肿瘤患者表现出最高的百分比 (82.9%),其次是HER2 IHC 1+肿瘤 (76.0%)。当按HR状态分层时,HR阳性组中HER2-low肿瘤的出现频率高于HR阴性组。特别是,在HR阳性疾病中,HER2 IHC 1+和IHC 2+肿瘤的比例分别为33.0%和13.0%。而HR阴性疾病中分别为28.1%和7.2%(p < 0.001;图2)。在原发性乳腺癌诊断时的分期 (p< 0.001) 和组织学 (p=0.004) 方面,检测到HER2-low肿瘤和HER2-0肿瘤之间存在统计学显著差异。在增殖率(通过Ki-67测量)、绝经状态和转移部位数量方面未见差异(表1)。
将HER2-low肿瘤进一步分为HER2 IHC 1+和HER2 IHC 2+肿瘤时,HER2 0、HER2 IHC 1+ 和HER2 IHC 2+在HR状态 (p < 0.001)、原发性乳腺癌诊断分期 (p < 0.001)、体能状态 (p=0.002)、组织学分级 (p=0.015)、转移部位数量 (p=0.03) 方面均存在显著差异。当按HR状态划分时,HR阳性亚组 (p=0.001) 和HR阴性亚组 (p=0.006) 中HER2-low肿瘤的IV期疾病百分比均高于HER2-0肿瘤。在HR阳性亚组中,与HER2-0肿瘤相比,HER2-low肿瘤中检出的侵袭性小叶肿瘤更少 (p=0.003)。基于HR状态,HER2-low和 HER2 -0肿瘤之间的基线特征相似。当按HER2 IHC状态分层时,在HR阳性人群中,与HER2 IHC 0~1+肿瘤相比,HER2 IHC 2+肿瘤的IV期疾病比例更高 (p=0.02),转移部位数量更少 (p=0.01),而在HR阴性人群中,HER2 IHC 2+肿瘤的Ki-67指数更高 (p < 0.001),疾病复发更频繁 (p=0.03)。

表1. 根据HER2状态(HER2-0 vs. HER2-low)分层的患者基线特征
2
生存期和预后
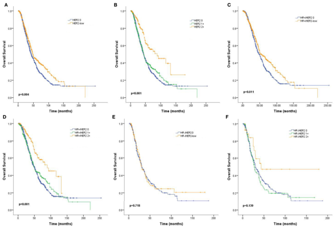
总人群的中位随访时间为62.6个月 (95%CI:58.0-67.1)。HER2-low MBC患者的生存期显著长于HER2-0 MBC患者(48.5个月vs. 43.0个月,p=0.004;图3A)。
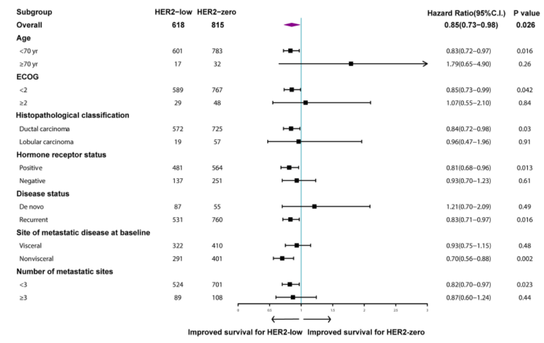
HR阳性肿瘤(54.9个月vs. 48.1个月,p=0.011;图3C)中观察到同样趋势,但HR阴性亚组的差异无统计学意义(29.5个月vs. 29.9个月,p=0.718;图3E)。更具体地说,在总患者人群(88.5个月vs. 43.6个月vs. 43.0个月,p < 0.001;图3B)和HR阳性亚组(88.5个月vs. 47.7个月vs. 48.1个月,p < 0.001;图3D)中,与HER2 IHC 1+和HER2-0肿瘤相比,HER2 IHC 2+肿瘤患者获得OS改善,但HR阴性亚组并非如此(42.9个月vs. 27.2个月vs. 29.9个月,p = 0.139;图3F)。亚组分析显示,非内脏转移 (HR:0.70,95%CI:0.56–0.88,p=0.002) 和HR阳性状态患者的OS率与其对应患者相比存在显著差异(HR:0.81,95%CI:0.68–0.96,p=0.013)(图4)。

图3. 按照HER2 IHC评分和HR状态分层的各亚组患者的OS获益(A:总人群中HER2-low vs. HER2-0;C:HR阳性亚组中HER2-low vs. HER2-0;E:HR阴性亚组中HER2-low vs. HER2-0;B:总人群中HER2 2+ vs. HER2 1+ vs. HER2-0;D:HR阳性亚组中HER2 2+ vs. HER2 1+ vs. HER2-0;F:HR阴性亚组中HER2 2+ vs. HER2 1+ vs. HER2-0)

图4. OS的多变量Cox回归分析(HER2-low vs. HER2-0)
表2总结了HER2阴性人群中与OS相关的预后因素。发现HER2-low肿瘤与OS延长独立相关 (HR:0.85,95%CI:0.73–0.98,p=0.026),同时HR阳性肿瘤 (HR:0.60,95%CI:0.51-0.70,p < 0.001)、更好的体能状态 (HR:0.75,95%CI:0.56-0.99,p=0.039) 和转移部位数量较少 (HR:0.55,95%CI:0.46 –0.67,p < 0.001) 与OS改善显著相关(表2)。

表2. 转移性乳腺癌诊断后的多因素生存分析
研究讨论
上述研究是中国第一项也是规模最大的描述HER2-low MBC患者特征的单中心研究。研究分析了HER2阴性 MBC患者的临床病理学特征及预后结局,并重点比较HER2-low与 HER2-0肿瘤的差异。结果发现 HER2-low几乎占到HER2阴性肿瘤的一半,且多发生于HR阳性患者。而且,HER2-low在HR阳性占比和生存率方面与HER2-0肿瘤明显不同。值得注意的是,在总人群和HR阳性亚组中观察到HER2 IHC 2+肿瘤相比HER2 IHC 0~1+肿瘤具有显著生存获益。
到目前为止,只有少数研究调研了HER2阴性乳腺癌中HER2-low人群的比例。其中一项针对3689例HER2阴性乳腺癌患者的回顾性研究[2]中,HER2-low、HER2 IHC0、HER2 IHC1+ 和HER2 IHC 2+患者的百分比分别为59.7%、40.4%、40.3%和19.4%。但是该研究是基于多个数据库的组合分析,而这些数据库提取自具有各种入选/排除标准的研究,因而可同时纳入早期和MBC患者,且并未标准化HER2 IHC状态的评价。这些可能是HER2-low在HER2阴性乳腺癌中的占比与我们的研究(43.1%)存在差异的原因。另外一项来自4项前瞻性新辅助治疗临床试验中2310例HER2阴性乳腺癌患者的汇总分析报告[3]显示,HER2-low肿瘤的比例为47.5%,这与我们的研究结果较为一致(43.1%)。但是这项研究也纳入了来自不同临床试验队列的早期患者,也无法避免不同试验间的异质性。此外,这两项研究均仅限于西方国家的患者,其结果可能无法推广至中国人群。
另外一项对来自19个中国临床中心的12467例乳腺癌患者进行的回顾性研究报告[4]表明,HER2-low肿瘤的百分比为56.9%,但不同实验室的发生率不同,且一些中心缺乏检测HER2状态的标准化程序。而基于中国单中心研究的最大样本量,我们的结果通过报告HER2阴性人群中HER2-low、HER2 IHC 0、HER2 IHC 1+ 和HER2 IHC 2+患者的比例,验证并补充了之前的工作。而且基于中国国家癌症中心来源的数据分析,我们的病理学家均有进行HER2检测的充分资质。不仅如此,作为一项单中心研究,能够有效避免不同实验室间HER2检测结果的异质性。
我们研究的另一个重要发现是[2],与HER2-0肿瘤患者相比,HER2-low肿瘤患者中检测到 HR阳性疾病的比例显著更高 (77.8%vs. 69.2%,p < 0.001),其中HER2 IHC 2+亚组的发生率显著较高 (82.9%)。而且,在HR阳性亚组中发现的HER2-low肿瘤患者比例高于HR阴性亚组 (46%vs.35.3%,p < 0.001),提示HR表达在HER2-low肿瘤中的重要作用。此外,我们观察到大多数 (73.5%)HER2-low患者中的HER2 IHC 1+亚组占比,与HR状态无关(HR阳性亚组33.0% vs. HR阴性亚组28.1%,p =0.75),这与既往结果一致[2]。HER2-low和HER2-0肿瘤之间HR表达差异的原因可能与单个基因的表达有关。Schettini等人[2]报道与HER2-0肿瘤相比,HER2-low肿瘤中Luminal相关基因(如BCL2、BAG1、FOXA1、ESR1)显著上调,而Basal-like基因和增殖相关基因显著下调。PAM50分析也显示HER2-low肿瘤具有 Luminal A 和B的特征,而Basal-like在HER2-0肿瘤中富集。基因表达谱确定了HR状态是HER2-low肿瘤潜在生物学的主要驱动因素,当按 HR状态分层时,在HR阳性亚组中一致观察到HER2-low和HER2-0肿瘤之间亚型分布和基因表达的差异,而在HR阴性亚组中未检测到明显的生物学差异。
我们的研究还发现,除了病理学差异,在整个队列中发现HER2-low肿瘤的OS改善显著优于HER2-0肿瘤。Cox回归分析也确定HER2-low状态是与生存期延长相关的独立预后因素。Kaplan–Meier分析显示[1],HER2-low状态在HR阳性亚组中与生存改善尤其相关,但HR阴性亚型并非如此。值得注意的是,当按HER2 IHC状态分层时,在HR+/HER2 IHC 2+亚组中观察到最显著的OS获益(中位OS:88.5个月),而HR+/HER2 IHC 1+和HR+/HER2-0患者的中位OS相对接近(分别为43.6个月和43.0个月)。
不同研究中HER2-low和HER2-0肿瘤之间的生存结局差异很大。Schettini等人[2]发现这两组之间没有差异,Denkert等[3]观察到早期HER2-low肿瘤患者的3年无病生存率和OS改善均优于HER2-0肿瘤患者。在这项研究中,与HER2-0肿瘤患者相比,HER2-low肿瘤患者的体能状态更好,Luminal型占比更高,IV期疾病的发生率更高,这就提示疾病的侵袭性降低可能是HER2-low肿瘤患者取得生存获益的原因。此外,在HER2-low和HR+/HER2-low亚组中TP53突变率降低,Luminal相关基因表达升高,而在HER2-0肿瘤中却检测到绝大多数增殖相关基因和酪氨酸激酶受体基因。这些可能是从基因组特征层面解释了HER2-low肿瘤生存期改善的原因[2,3]。在我们的研究中,HR+/HER2 IHC 2+肿瘤患者的生存期显著长于HR+/HER2 IHC 0~1+肿瘤患者,从临床病理学角度来看,与HR+/HER2 0~1+肿瘤患者相比,HR+/HER2 2+肿瘤患者更年轻,表现出更好的体能状态,转移部位数量更少,我们的研究表明疾病状态相对早期以及患者状况改善可能是生存期延长的原因[1]。
综上所述,这些发现表明HR是HER2-low肿瘤基础生物学的重要决定因素,HR+/HER2-low亚组可能被确定为HER2阴性人群中独特的生物学实体。由于本研究的回顾性性质和缺乏基因组信息,HR+/HER2 IHC 2+肿瘤是否可以进一步区分为不同的亚型仍不清楚。未来有必要开展进一步研究,以描述HER2-low人群更详细的分子特征。同时,揭示HER2-0肿瘤预后降低和HR+、HER2-low/HER2 IHC 2+患者生存率改善的潜在分子基础也至关重要。
研究结论
该研究为中国HER2阴性MBC人群中HER2-low肿瘤的临床病理学特征和预后相关性提供了新的认识。研究结果支持 HER2-low肿瘤可以被确定为与HER2-0肿瘤不同的临床实体,尤其是对于HR阳性亚组。HER2-low乳腺癌可能存在更复杂的分子图谱,未来有必要研究出能够进一步区分HER2不同表达水平的新型、敏感检测方法,从而为更多乳腺癌患者提供治疗机会。
参考文献:
[1]Li Y, Abudureheiyimu N, Mo H, et al. In Real Life, Low-Level HER2 Expression May Be Associated With Better Outcome in HER2-Negative Breast Cancer: A Study of the National Cancer Center, China. Front Oncol. 2022 Jan 17;11:774577.
[2]Schettini F, Chic N, Brasó-Maristany F, et al.Clinical, Pathological, and PAM50 Gene Expression Features of HER2-Low Breast Cancer. NPJ Breast Cancer (2021) 7:1.
[3]Denkert C, Seither F, Schneeweiss A, et al. Clinical and Molecular Characteristics of HER2-Low-Positive Breast Cancer: Pooled Analysis of Individual Patient Data From Four Prospective, Neoadjuvant Clinical Trials. Lancet Oncol (2021) 22:1151–61.
[4]Shui R, Liang X, Li X, et al. Hormone Receptor and Human Epidermal Growth Factor Receptor 2 Detection in Invasive Breast Carcinoma: A Retrospective Study of 12,467 Patients From 19 Chinese Representative Clinical Centers. Clin Breast Cancer (2020) 20:e65–74.
审批号:CN-105965
过期日期:2023-12-18
* 本文由阿斯利康提供支持,仅供医疗专业人士参考
*此文仅用于向医学人士提供科学信息,不代表本平台观点


| 留言与评论(共有 0 条评论) “” |