
编者按
2015年升空的“悟空”卫星目前处于第三次延寿运行阶段,各项探测器指标运行良好。“悟空”的成功发射意味着中国空间天文卫星“从无到有”的突破,开启了中国空间科学的新篇章。而它背后,是数代中国天文科学家努力探索的心血。
“悟空”又名暗物质粒子探测卫星,于2015年12月17日在酒泉卫星发射中心升空。它的成功入轨,昭示着中国人此后有了自己的空间天文卫星。发射当天,《Nature》杂志在线发表了评论:“‘悟空’号开启了中国空间科学新时代”。
“悟空”原本设计寿命3年,经过三次延寿运行,至今已稳定运行超6年半时间,目前各项探测器指标依然保持良好的工作状态。

“悟空”卫星在酒泉卫星发射中心发射
中国天文学家的追梦之路
中国人的天文之路,并不平坦。民国时期,第一代中国天文学家曾为建立中国天文研究机构奔走呼号,终圆梦南京紫金之巅,成立紫金山天文台;1970年,“东方红一号”的顺利飞天,向世界宣告中国进入了太空时代。
上世纪七十年代,随着国家战略需求的发展,中国科学院紫金山天文台研究员张和祺牵头提出“天文一号”卫星,它是我国第一个空间太阳观测卫星计划,于1978年正式立项启动研制,并被列入国家“两星一站”计划(继“两弹一星”任务后)。
为此,紫金山天文台专门成立了空间天文实验室,并承担了若干探测器的任务。这颗卫星载荷总重量30千克,预计轨道高度为500千米、倾角50º左右,计划以1980-1981太阳活动第21个峰年为契机,发射运行。
1983年,星上几个主要探测器完成了包括所有环境模拟试验和系统联试的研制全过程,各项性能指标也达到了设计要求。然而因各类客观因素,工程项目被迫终止。但中国天文学家的梦想并未止步。
我国空间科学卫星数目从0到1
2011年“悟空”卫星立项之前,西方国家的空间科学卫星与我国的空间科学卫星的数目比大约是200与0。面对如此巨大的差距,我们何以脱颖而出?这需要提到“悟空”卫星首席科学家、中国科学院院士常进研究员。
常进院士于上世纪90年代初进入中国科学院紫金山天文台工作,主要研究方向是空间高能粒子的探测,但当时我国的空间天文领域几乎一片空白,只能在他人数据基础上探求发展。在此过程中,常院士发现了可以大幅提升质子、电子鉴别能力的新方法。
质子、电子分辨为何重要?这与空间高能粒子——宇宙射线有关,简称宇宙线。高能电子宇宙线与质子宇宙线相比,其相同能量的数密度仅为后者的千分之一至万分之一水平。因而,探测电子,相当于在以质子宇宙线为背景的环境中“大海捞针”。
此前,为鉴别质子、电子,科学家需要将探测器做得又大又厚,这意味着庞大的预算。而常进发现的新方法,在旧方法基础上刻画粒子在探测器里的横向发展,同时构造横向、纵向的联合参数。这样,薄的探测器就能实现非常高的质子、电子分辨,为空间探测实验提供了新的发展思路。

悟空卫星在轨示意图(图片来源:紫金山天文台)
1998年,正在德国进修的常进了解到美国南极长周期气球探测项目(主要用于观测高能宇宙线)。在常进的极力劝说下,其新方法最终在该项目中得到应用。尽管在探测器上没有花费一分钱,成果仍以常进为第一作者的论文于2008年发表在《自然》杂志上。这一试验验证了新方法的可靠,也预示着新的学科方向。
2011年,中国科学院受国务院委托,负责实施空间科学战略性先导科技专项,常进提出的暗物质粒子探测卫星得以立项,后被命名为“悟空号”。经过团队四年时间的共同努力,“悟空”于2015年12月17日顺利发射,终于实现了我国天文卫星零的突破。
“悟空”的火眼金睛
“悟空”入轨后便很快产生科学数据,同时地面测控工作人员和科学应用系统的工作人员开启了“陪跑”之路,中国天文学家终于掌握了第一手的观测数据。
和《西游记》神话人物孙悟空一样,“悟空”卫星具有的火眼金睛,探测到了极微量的电子宇宙线,同时,它也能精确测量质子、氦核等原子核宇宙线。
2017年11月,“悟空”首批科学成果发表在权威期刊《自然》杂志上,第一次精确探测到TeV能区的正负电子,实现了最高的背景排除率和能量测量精度。这意味着悟空卫星成功开启TeV能区的观测窗口,让天文学界看到了新的世界。

悟空卫星2017年发布的电子能谱(红色点)(图片来源:紫金山天文台)
“悟空”合作组于2019年、2021年先后发布了质子与氦核宇宙线的能谱测量结果,第一次以高置信度发现了能谱在高能的变软结构,这些发现对宇宙线加速、传播等物理过程具有重要意义。
|
|
悟空卫星分别于2019年发布的质子宇宙线能谱(左) | 2021年发布的氦核宇宙线能谱(右) |
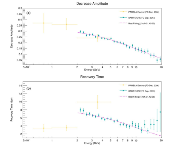
2021年10月,“悟空”合作组发表了对2017年9月一次剧烈太阳爆发活动导致的电子宇宙线流量下降事件并对其恢复特征进行了精确测量。2021年12月,合作组发布了暗物质湮灭到伽玛线谱的严格限制。

图 5:悟空卫星2021年发布的因为太阳活动导致电子宇宙线下降幅度(上图)、恢复时间的特征(下图)

悟空卫星2021年发布的暗物质湮灭到伽玛射线线谱的限制结果(红色实线)
经过数年在轨观测,“悟空”探测到的空间高能粒子越来越多。自2015年12月20日接收到第一帧数据,直至2022年06月01日,“悟空”累计接收数据35912轨,在轨飞行2355天,完成了全天区的第12遍扫描,共探测并处理了约117.6亿个高能粒子。
“悟空”优良的电荷分辨率,较大的探测器接受面积,使得我们能够探测到高能的宇宙线,而其稳定运行,不断积累数据,科学结果的可靠性也不断增强。

“悟空”实时运行图(图片来源:紫金山天文台)
回顾整个项目,从我国科学家领衔提出科学目标,各单位协力合作研制探测器,到最终成功发射;从获取观测数据到在轨延寿运行;从原始数据分析到收获重要原创成果,几代天文学家的天文卫星设想,最终梦圆“悟空”,也开启了中国空间科学的新时代。
(作者彭晓艳系中国科学院紫金山天文台暗物质与空间天文重点实验室工程师,马鹏雄系中国科学院紫金山天文台暗物质与空间天文重点实验室助理研究员)

“光年之外”专题,由“共话天文与人·赋能未来发展”天文论坛特别邀约国内外顶尖天文科研工作者撰文,该论坛由中国天文学会主办,中国科学院上海天文台和国际天文学联合会天文促发展办公室东亚区域办公室承办,它是IYBSSD2022基础科学促进可持续发展国际年系列活动之一。
| 留言与评论(共有 0 条评论) “” |