非常规超导体包括铜氧化物高温超导体、铁基超导体、重费米子超导体和部分有机超导体等,因其不能用传统的BCS超导理论所描述而得名,它们的微观机理至今是凝聚态物理中最具挑战性的难题之一。传统的超导机理仅考虑了电荷相互作用,即巡游电子与构成材料晶格的原子发生库仑相互作用,通过交换晶格振动的能量量子——声子而发生两两配对,最终相干凝聚成超导宏观量子态。而在非常规超导体中,自旋相互作用显得尤为重要,不仅超导电性往往起源于对母体中静态反铁磁序的抑制,而且在进入超导态之后,自旋体系动态上会与超导态发生“共振”——在特定的能量和动量处形成一个集体自旋激发模,可以被中子散射直接观测到,称为“中子自旋共振模”。该共振模在非常规超导体中普遍存在,预示自旋涨落很可能是配对的媒介。然而,自旋涨落究竟如何参与电子配对,它们在过程中是否存在特殊的“偏好”?这是非常规超导机理的核心问题。铁基超导体的庞大家族成员、多能带电子结构和磁结构的多样性给非常规超导机理的研究带来了良好契机,特别是铁离子的局域磁矩与费米面附近的巡游电子之间的强烈耦合效应蕴含着丰富的物理。

图1. (a) 铁基超导体磁结构的平均场相图(b)CaK(Fe1-xNix)4As4体系的电子态相图 (c)实验所用单晶样品(d)自旋涡旋序(SVC)结构(e)SVC态下自旋涨落方向
中国科学院物理研究所/北京凝聚态物理国家研究中心超导国家重点实验室SC8组的李世亮、罗会仟团队多年来一直坚持利用非弹性中子散射研究铁基超导体的自旋动力学,特别是在铁基超导体的中子自旋共振模方面取得一系列前沿进展。例如:在112体系(Ca0.82La0.18Fe0.96Ni0.04As2)发现准二维的自旋共振模 (Phys. Rev. Lett. 120, 137001 (2018));在1144体系(CaKFe4As4)发现c方向奇偶调制的自旋共振模(Phys. Rev. Lett. 120, 267003 (2018));在12442体系(KCa2Fe4As4F2)发现色散朝下的自旋共振模(Phys. Rev. Lett. 125, 117002 (2020))等。这些研究深入揭示了铁基超导与其他非常规超导电性的异同,为建立统一的非常规超导微观机理奠定了基础。


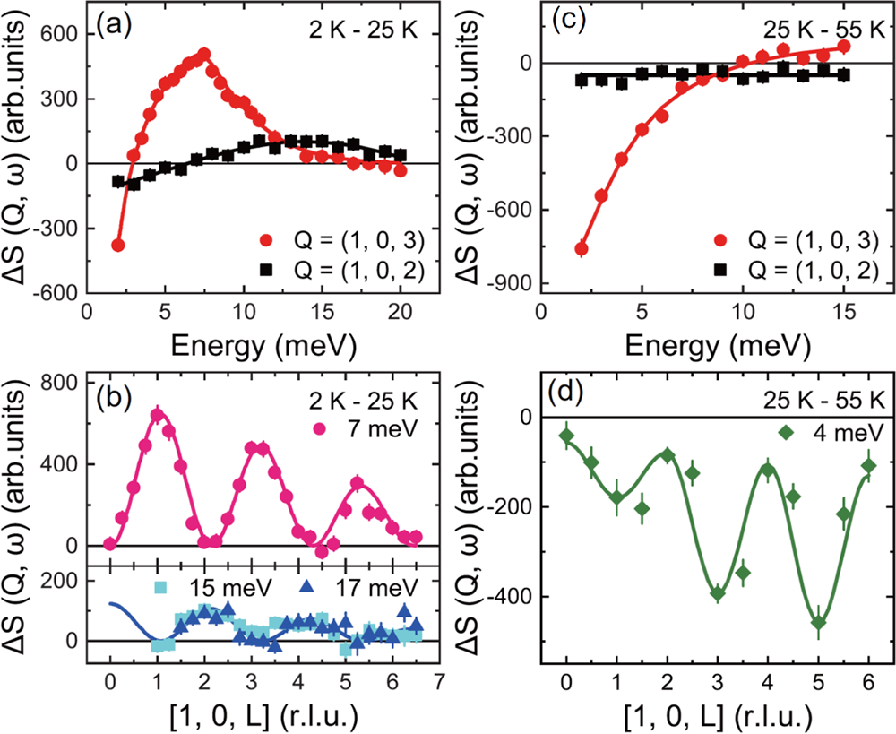
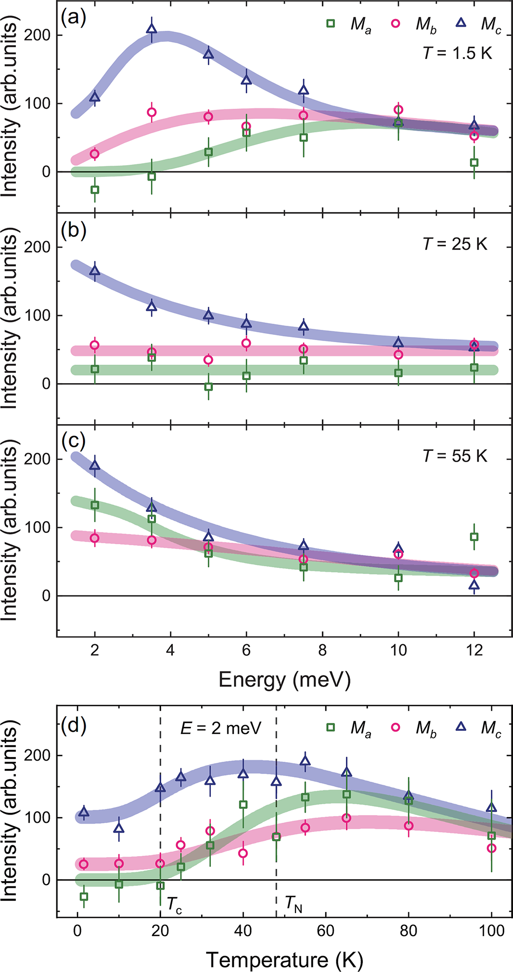
最近该团队在铁基超导自旋涨落研究方面又取得重要进展,确立了超导态下自旋涨落的普遍择优取向。如图1(a)所示,铁砷化物超导体具有三类不同的磁性基态:面内共线的条纹状自旋密度波(SSDW),面外共线双轴c取向的电荷-自旋密度波(CSDW)和面内非共线但共面的自旋涡旋序(SVC)。它们可以统一用双分量的传播矢量来描述,并在平均场相图的不同区域互为邻居,决定其磁性基态的关键因素在于朗道参数(g, w, η)的符号和自旋-轨道耦合的具体形式。已有实验结果表明前两者磁有序态下自旋共振模具有c方向极化的特征,然而在晶格对称性为四方相下的SVC态的自旋涨落取向尚不清楚。通过在CaKFe4As4中掺入Ni,他们获得了TN=48 K SVC态与 Tc=20 K超导态共存的样品,单晶尺寸达到厘米量级,用于非弹中子散射实验总样品量为4.426克(图1(b)和(c))。该样品在自旋涡旋磁结构下,自旋双分量呈90°锁定,原则上自旋涨落可以是面外的c方向或面内a方向,而整个SVC结构面内磁矩转动会带来一个具有手性的残余序参量,称之为自旋涡旋密度波(SVDW)。在如此特殊的自旋-轨道耦合下会出现怎样的自旋各向异性?首先,非极化中子散射实验表明,该体系仍然存在类似于CaKFe4As4的奇偶调制双自旋共振模,共振能量分别为7 meV和15 meV(图2(a)和(b))。在SVC态下,低能激发会凝聚到静态磁序中,形成奇数调制的自旋能隙(图2(c)和(d))。接下来,他们利用极化中子散射详细分析了自旋涨落的空间各向异性,如图3所示,在超导态和SCV态共存区(T=1.5 K)、SVC态(T=25 K)和顺磁态(T=55 K)下,c方向的自旋涨落Mc均在低能占据主导。特别是超导态下,自旋共振峰有明显的c方向极化行为,而面内轻度的各向异性可能与SVDW序有关(图3(a)-(c))。详细温度依赖测量表明,该c方向为主的自旋涨落持续到了100 K左右,远高于磁相变温度(图3(d))。该研究确立了SVC态下铁基超导体仍然具有明显的c方向择优自旋涨落,填补了铁基超导体中自旋-轨道耦合效应的最后一块拼图,指出了不同磁性基态之间的具体联系(图4)。无论铁基超导体磁性基态是何种构型,在进入超导态之后的自旋共振模中,均具备c方向优先的普遍特征。该研究还意味着,铁基超导中电子配对可能有轨道选择倾向,如c方向择优的自旋涨落来自某些特定电子轨道与局域自旋的强烈耦合,在远高于超导和磁相变温度之上就已存在,进入超导态之后会被迅速增强。

上述研究工作已于2022年3月31日以“Preferred spin excitations in the bilayer iron-based superconductor CaK(Fe0.96Ni0.04)4As4 with spin-vortex crystal order”为题发表在Physical Review Letters (Chang Liu et al., Phys. Rev. Lett. 128, 137003 (2022)),并被期刊编辑选为Editors’ Suggestion。Physics 杂志在Synopsis栏目发表了题为“Spin Fluctuations May Drive Iron-Based Superconductivity”的专题科普报道。
论文链接: Preferred spin excitations in the bilayer iron-based superconductor CaK(Fe0.96Ni0.04)4As4 with spin-vortex crystal order
Featured in Physics:Spin Fluctuations May Drive Iron-Based Superconductivity
延伸阅读:
1. 准二维铁基超导体中发现朝下色散的中子自旋共振模
2. 双层铁基超导体中的奇偶调制自旋共振模
3. 发现112型铁基超导体的中子自旋共振模
编辑:荔枝果冻
| 留言与评论(共有 0 条评论) “” |