「微课堂」青藏高原纳木错湖冰物候变化遥感监测与模拟

青藏高原被视为亚洲水塔,是全球气候变化的敏感区域。湖泊是亚洲水塔的重要组成部分。过去几十年随着气候变化,湖泊的水热平衡及湖区生态系统均发生了显著变化。湖冰物候直接受湖泊能量平衡变化的影响,是探测区域乃至全球气候变化及其生态环境效应重要的湖泊参量。

01 什么是湖冰物候?

湖冰物候,即湖泊的冻结和消融时间,是反映湖泊能量平衡动态变化的直观指标,对区域气候变化有着很好的指示作用,影响着湖泊生态系统中生物的繁殖以及渔业、运输业等人类生产活动。

在全球变化背景下,青藏高原湖泊的冻融近年发生了哪些变化?未来又可能往何处发展?

中国科学院空天信息创新研究院张兵研究员团队利用遥感监测和物理模型相结合的方式,重建了青藏高原纳木错湖泊近60年的湖冰物候信息,并分析了湖冰物候的变化规律及其对气候变化的敏感性。相关成果刊发在2022年《遥感学报》第1期。

02 研究方法—遥感监测

科研人员突破传统地面观测的限制,基于多种不同的遥感信息源,反演了青藏高原纳木错2000-2015年期间的湖冰物候并进行了交叉验证:

1.利用MOD09GA反射率信息,基于冰面与水面反射率的差异确定湖冰物候;

2.利用MOD10A1冰雪产品,基于湖面水体面积占比的变动确定湖冰物候;

3.利用MOD11A1温度产品,基于湖泊冻融阶段的特征温度确定湖冰物候。

4.从“2002-2016年高亚洲地区中大型湖泊微波亮温和冻融数据集”中获取纳木错2002-2016年的湖冰物候作为对比数据。

结果表明,纳木错湖泊结冰日多始于12月底至1月,次年4至5月湖冰则完全融化。多年平均情况下,开始结冰日(FUS)为1月7日,完全融化日(BUE)为5月10日。年均湖泊结冰期(ID)的长度大致为124天。

【微课堂】青藏高原纳木错湖冰物候变化遥感监测与模拟

图1 遥感监测的湖冰物候

03 研究方法-物理模型

遥感数据或者产品时间序列相对较短,难以揭示湖冰物候在更长时间段内的变化规律。另一方面,遥感信息反映的是湖冰物候变化的事实,未能解释湖冰物候变化的物理机制。深入认识湖冰冻融过程的物理机制,揭示湖冰物候对气候变化的响应规律,需要借助数值模拟的方法。

科研人员通过建模重现了纳木错湖泊1962-2018年的湖冰物候。模拟构建的物候序列与遥感监测结果的对比验证表明:模拟值与遥感监测值一致性较高,特别是对湖冰融化日期的模拟。模型为定量分析湖冰物候对气候变化的响应提供了可行的途径。

【微课堂】青藏高原纳木错湖冰物候变化遥感监测与模拟

图2 模拟湖冰物候(Sim)与遥感(RS)湖冰物候

04 科学结论

基于数值模拟,科研人员揭示了纳木错湖冰物候过去近60年的变化规律及其对气候变化的响应特征。

近60年湖冰物候的变化:结冰日期(FUS)平均每10年延后3.3天,融化日期(BUE)每10年提前3.0天;冰期(ID)的变化速率最快,以每10年6.4天的速率缩短(图3)。

【微课堂】青藏高原纳木错湖冰物候变化遥感监测与模拟

图3 1962~2018年纳木错湖冰物候变化趋势

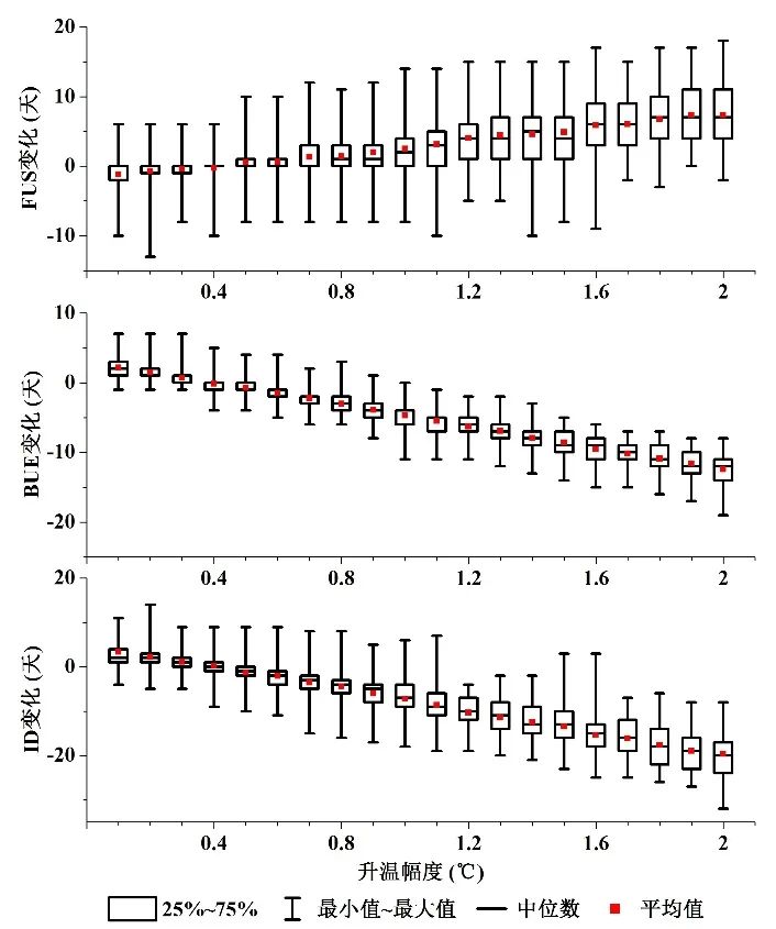
湖冰物候对气候变化的响应:敏感性分析表明,当气温升高达0.7℃时,开始结冰日(FUS)显著推迟。如果气温升高2℃,结冰日期平均推迟7.3 天。湖冰融化过程对气温的响应比结冰过程更显著。当气温升高2℃,融化日期平均提前12.4 天。因此,冰期随着温度升高将显著缩短,平均缩短19.7 天。

【微课堂】青藏高原纳木错湖冰物候变化遥感监测与模拟

图4 湖冰物候对气温变化的敏感性

湖冰物候的变化影响着湖泊及其周围的生态系统和人类活动。因此,在气候变暖的背景下,需要对湖冰物候的时空变化进行持续的监测和预测。未来可进一步利用更高时空分辨率的遥感数据提高湖冰物候监测的精度和范围。同时,可进一步完善湖泊冻融过程模型,减少模型的不确定性,并预测不同气候情景下湖冰物候的可能变化,综合评估湖冰物候变化潜在的生态环境效应,为区域乃至全球气候变化及其适应性对策的研究提供科学与技术支撑。

供稿人:五室,吴艳红,郭立男

原文链接

【微课堂】青藏高原纳木错湖冰物候变化遥感监测与模拟

END

【微课堂】青藏高原纳木错湖冰物候变化遥感监测与模拟
发表评论
留言与评论(共有 0 条评论) “”
   
验证码:

相关文章

推荐文章