科研人员提出活动星系核准周期爆发现象的新模型

近期,由中国科学院上海天文台博士生潘鑫、研究员李双良、顾敏峰,浙江大学教授曹新伍,西班牙天体生物中心天文学家Giovanni Miniutti组成的合作团队,提出了一种新的吸积盘模型来解释近年新观测到的活动星系核GSN 069中的准周期爆发现象(QPEs)。该模型对QPEs时标(即爆发周期)、爆发幅度与辐射谱演化过程方面的完整物理机制提供了统一解释。

活动星系核GSN 069的准周期性爆发(QPEs),主要表现在高能波段具有极短时标(数小时)的稳定周期性爆发。然而从现有的吸积理论和以往的“统一模型”来看,“统一模型”先前对活动星系核准周期爆发现象爆发周期的预测往往是几百年甚至几千年,因此对于GSN 069这种具有数小时极短爆发周期的天体来说,“统一模型”无法直接给出合理解释。QPEs的极短爆发周期与近十来年天文学家关注的变脸活动星系核(Changing-Look AGNs)一样,均对以往的“统一模型”提出了挑战,而寻找这种罕见的天文现象背后的物理机制,能够帮助天文学家在现阶段难以通过望远镜观测去分辨的情况下,进一步理解星系核心区域的结构与性质。

近年来,天文学家陆续发表了几种模型来尝试解释QPEs,但这些模型主要集中在解释QPEs的极短光变时标上,对于QPEs整体的观测性质,比如光变轮廓、幅度与辐射谱演化目前还没有较好的模型来进行全面解释。中国科学院上海天文台牵头的研究团队在以往关于变脸活动星系核模型的结构与QPEs光谱观测中分析结论的基础上开展研究,认为QPEs是在某些条件下薄盘的产热与冷却无法保持平衡而产生的准周期性爆发。对于GSN 069实际观测与“统一模型”不符的时标问题,研究人员认为可以通过考虑吸积环境中有序大尺度磁场的存在来解决。

以往研究显示,大尺度磁场的存在能够有效地降低吸积盘温度,使得吸积盘趋于稳定,并会使得靠近黑洞部分吸积盘结构偏离标准薄盘(内边界存在一个额外的力矩)。因此研究人员认为GSN 069可能是一个具有较强大尺度磁场环境的吸积系统。在这种情况下,较高吸积率的吸积盘不稳定区域会被严重限制在最靠近黑洞的一个高温狭窄区域,这也是为什么观测到的QPEs时标会如此之短,并且只表现在高能波段的原因(图2)。

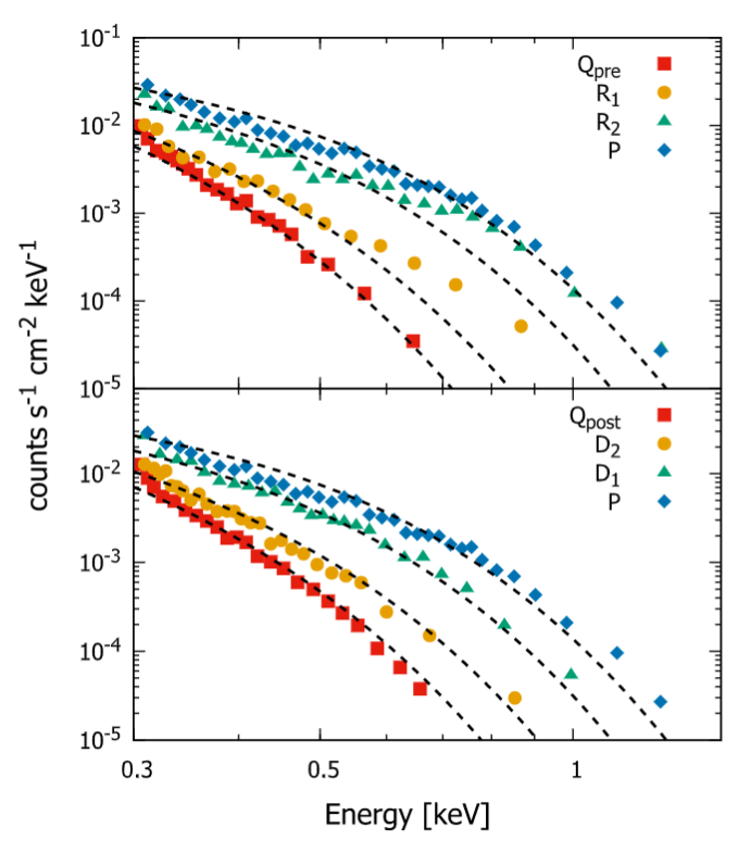
研究人员通过推导吸积盘不稳定区域的演化方程,并用数值计算对其进行求解,得到了GSN 069的周期性爆发结果。通过与观测比较,研究人员发现在光变的周期、轮廓、幅度,以及光谱的演化等方面,新模型均能够很好地定性重现观测结果(图3-4)。进一步分析发现,新模型还能够在光变中给出不同的“占空比”,预示了研究提出的新模型可能进一步解释其他的QPEs源,具有一定普遍意义(图5)。

潘鑫表示:“就目前的QPEs观测来说,数据样本量还比较少,我们期待发现更多的QPEs源,给出更多的约束条件,以验证这个新模型的合理性,并进一步完善这个模型,从而能够更为深入地去探索活动星系核中心正在发生的物理过程。”

相关研究成果发表在《天体物理学杂志-通讯》上。 研究工作得到国家自然科学基金和中国空间站项目的支持。

科研人员提出活动星系核准周期爆发现象的新模型

图1.Miniutti等人发现的GSN 069中的QPEs(0.4-2 keV)。a和b是牛顿空间望远镜观测到的X射线波段的光变曲线,c是钱德拉空间望远镜观测到的X射线波段的光变曲线

科研人员提出活动星系核准周期爆发现象的新模型

图2.模型结构示意图。由于大尺度磁场的存在,不稳定区域被限制在了靠近黑洞的狭窄范围内,即图中橙色部分

科研人员提出活动星系核准周期爆发现象的新模型

图3.模型光变曲线与观测数据的对比,可以看到模型所给出的光变爆发模式(实线)与观测(灰点)能够很好对应

科研人员提出活动星系核准周期爆发现象的新模型

图4.模型光谱演化与观测数据对比。模型的光谱演化结果(虚线)与观测数据(彩色点)能够在演化趋势上很好对应

科研人员提出活动星系核准周期爆发现象的新模型

图5.不同粘滞假设条件下的光变曲线。模型的在不同粘滞参数条件下能够爆发出不同“占空比”的光变模式

来源:中国科学院上海天文台

发表评论
留言与评论(共有 0 条评论) “”
   
验证码:

相关文章

推荐文章