关于协方差的相关性

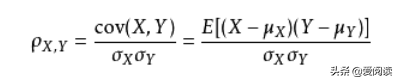
我们都知道协方差 可以用来评判多因素间是否具有一相关性,相关相关性的度量也就是皮尔逊系数,皮尔逊系数:

关于协方差的相关性

皮尔逊相关性是两个变量之间的协方差与标准差的商, 那怎么去理解呢?

通过公式我们来理解一下,是去中心化后的数学期望标准差的商, 分母非负,我们主要关注分子部分就好了,每个点与组内平均值的差就是归一化的思想,所以我们就是看最后的数学期望对应的向量是不是为正,就可以判断两个变量是不是正相关,为了呈现这个过程,我们来看一个例子。

tdf = pd.read_csv('../data/tips.csv')
tdf
关于协方差的相关性

这是一组数据,total_bill代表消费者就餐账单总额,tip为 小费,一般理解,就餐费用越高的消费者会提供更多的小费给服务员,因此账单总额和小费应该是正相关的,我们按照上面的理解来推演一下:

bill = tdf['total_bill'].values # 消费者就餐账单总额
tip = tdf['tip'].values # 消费者给服务员的小费


x_mean = list(map(lambda x: x - np.mean(bill), bill)) ### 去中心化
y_mean = list(map(lambda x: x - np.mean(tip), tip)) ### 去中心化
xy_mean = [x_mean[i] * y_mean[i] for i in range(len(x_mean))] ### 点坐标相乘


plt.figure(figsize=(10,6))
plt.subplot(131), plt.scatter(bill, tip, c='r'), plt.title("总账单分布")
plt.subplot(132), plt.scatter(x_mean, y_mean, c='r'), plt.title("总账 去中心化结果 ")
plt.subplot(133), plt.scatter(xy_mean, [0]*len(xy_mean), c='r'), plt.title("总账 去中心化 x*y ")

r = np.corrcoef(bill)
rr = np.mean(xy_mean) ### 大于零 说明X, Y为正相关(基于公式的理解)
print(f" 点相乘结果:{rr}, 皮尔逊相关性:{r}")
关于协方差的相关性


我们看到 xy_mean 的平均值为 8.29 ,是大于0的,根据猜想应该是正相关,而我们计算的皮尔逊相关系数为 1.0,为强正相关,和猜想一致。通过下面的拟合我们可以很清楚的发现,整体上 total_bill 与 tip是正相关的。

import seaborn as sns

sns.regplot(x='total_bill', y='tip', data=tdf)

关于协方差的相关性

当然,我们还可以计算sperman相关性,但是基本都一致规律。

发表评论
留言与评论(共有 0 条评论) “”
   
验证码:

相关文章

推荐文章