吉大崔小强最新Angew: 原子界面工程策略助力高效电催化碱性析氢


吉大崔小强最新Angew: 原子界面工程策略助力高效电催化碱性析氢

第一作者:武建栋

通讯作者:崔小强,范锦昌

通讯单位:吉林大学,

DOI:10.1002/anie.202207512



全文速览

促进碱性介质中析氢反应(HER)的关键是加速缓慢的水解离动力学。本文报告了使用一锅溶剂热法合成了锚定在Rh金属烯上原子分散的MoOx材料。由此产生的结构最大程度地暴露了氧化物-金属界面, 使得MoOx-Rh催化剂对碱性HER具有超高活性,在 50 mV 的过电位下具有2.32 A mgRh-1 的质量活性,是商业Pt/C的11.8倍,超过了先前报道的Rh基电催化剂。第一性原理计算表明,MoOx和Rh之间的界面是碱性HER的活性中心。MoOx位点优先吸附和解离水分子,相邻的Rh位点吸附生成的原子氢,以实现高效的H2释放。本文的研究结果说明了原子界面工程策略在电催化中的潜力。

吉大崔小强最新Angew: 原子界面工程策略助力高效电催化碱性析氢



背景介绍

对于能源技术,尤其是与碳中和技术相关的技术来说,通过析氢反应 (HER) 从水中电催化制氢引起了人们极大的兴趣。目前,工业电化学制氢通常基于碱性电解技术。然而,碱性条件下的HER速率比酸性介质低2~3个数量级。碱性HER 缓慢是因为酸性HER可以利用介质中的质子,而碱性HER必须通过水解离产生质子。碱性条件下缓慢HER动力学促使人们寻找高效催化剂,以加速水离解并改变氢吸附。


由于最佳的氢吸附自由能,目前最先进的HER电催化剂是铂和铂族材料。然而,它们的性能通常受到碱性条件下HO–H键断裂之前步骤的必要性的限制。相反,金属氧化物/氢氧化物催化剂对水离解步骤有效,但对其他重要的氢吸附和氢解吸过程无效。因此,最佳的碱性HER电催化剂应结合铂族金属和金属氧化物/氢氧化物的良好性能。通常,可以通过界面工程以及由此产生的协同效应来实现的。可以预料,将亚纳米级或原子级金属氧化物/氢氧化物与超薄铂族金属相结合的配置可以极大地放大界面效应,从而产生高效的电催化性能。然而,目前还不清楚如何在实践中实现这种结构。


本文使用一锅溶剂热法制备了MoOx-Rh催化剂,其由原子分散在Rh金属烯上的MoOx组成,对碱性HER具有优异的活性。这项工作的动机是Mo-Rh相图中的混溶间隙,这可能有利Mo原子或Rh表面纳米结构的分离。由此得到的MoOx-Rh金属烯对碱性HER具有显著的催化活性,在10 mA cm-2下的过电位为15 mV,在50 mV的过电位下的质量活性为2.32 A mgRh-1。这一性能超过了先前报道的Rh基电催化剂以及商用Pt/C。



图文解析

吉大崔小强最新Angew: 原子界面工程策略助力高效电催化碱性析氢

图1. MoOx-Rh金属的形态和结构表征。(a, b) HAADF-STEM, (c) TEM, (d) AFM 图像和 (e) 相应的高度剖面。(f) EDX 映射图像。(g)高倍率HAADF-STEM图像和(h)相应的3D伪彩色表面图。(i) MoOx-Rh 金属烯的结构示意图。Rh、Mo和O原子由青色、粉红色和红色球表示。


吉大崔小强最新Angew: 原子界面工程策略助力高效电催化碱性析氢

图2. MoOx-Rh金属中Mo组分的XPS和XAFS表征。(a) Mo 3d区域的 XPS 光谱。 (b) Mo K-edge的实验XANES 光谱。(c) EXAFS光谱的 k3加权χ(k)-函数。虚线为实验数据,实线为拟合结果。(d) Rh表面上二聚体、三聚体、单层的Mo-Mo和MoOx-Rh金属的配位数。(e) Mo K-edge数据的小波变换:Mo箔、MoO3和MoOx-Rh。


吉大崔小强最新Angew: 原子界面工程策略助力高效电催化碱性析氢

图3. MoOx-Rh金属中Rh组分的XAFS表征。(a) 实验 XANES 光谱,(b) Rh 箔、Rh2O3 和 MoOx-Rh 的EXAFS光谱。虚线为实验数据,实线为拟合结果。(c) 实验XANES光谱,(d) Rh金属烯和MoOx-Rh金属烯的EXAFS光谱。(e) Rh K-edge数据的小波变换:Rh 箔、Rh金属、MoOx-Rh金属和Rh2O3。


吉大崔小强最新Angew: 原子界面工程策略助力高效电催化碱性析氢

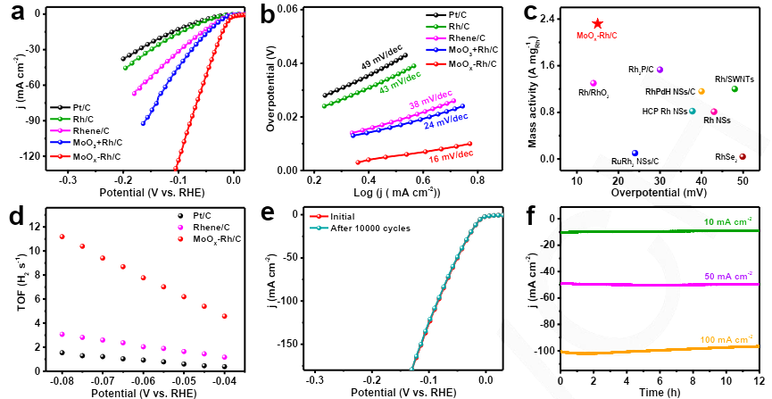
图4. 电催化性能。(a)商用Pt/C、Rh/C、Rhene/C、MoO3+Rh/C和MoOx-Rh/C的HER极化曲线。(b)从极化曲线获得的Tafel图。(c)使用质量活性对HER活性进行比较。(d) 催化剂的TOF图。(e) 在10000次电位循环前后记录的MoOx-Rh金属在碳纸上的HER 极化曲线。(f)在10/50/100 mA cm-2电流密度下,碳纸上MoOx-Rh金属烯的电流-时间(i-t)计时电流响应。


吉大崔小强最新Angew: 原子界面工程策略助力高效电催化碱性析氢

图5. DFT模拟。(a)MoOx-Rh金属烯界面电荷密度差。黄色和绿色区域分别代表电子积累和耗尽。(b)优化的HER中间体在MoOx-Rh界面上的吸附构型。(c)Pt、Rh和MoOx-Rh的H2O解离反应自由能途径。在H覆盖率分别为(d)0.77 ML和(e)1 ML的条件下,优化了MoOx-Rh金属烯表面的构型。d和e中的黄色圆圈表示界面相对湿度。(f) Pt、Rh和MoOx-Rh上不同H覆盖率下的ΔGH*值。



总结与展望

综上所述,本文成功地合成了原子分散在Rh金属烯上的MoOx,并证明其是碱性介质中高效的HER催化剂。得到的MoOx-Rh金属烯在超低Rh负载量下表现出优异的碱性HER性能,具有超高的活性和显著的耐久性。这超过了先前报道的基于 Rh 的电催化剂。这种性能主要归功于界面的结构最大化活性,其中 MoOx 物质优先吸附和激活H2O分子以进行解离,而附近的Rh位点很容易吸收产生的原子氢以进行有效的解吸和H2释放。本文的研究结果为设计具有分散原子级界面的高效电催化剂提供了新的策略和机会。



文献来源

Wu, J., Fan, J., Zhao, X., Wang, Y., Wang, D., Liu, H., Gu, L., Zhang, Q., Zheng, L., Cui, X., Singh, D..J. and Zheng, W. Atomically Dispersed MoOx on Rhodium Metallene Boosts Electrocatalyzed Alkaline Hydrogen Evolution. Angew. Chem. Int. Ed. 2022

文献链接:https://doi.org/10.1002/anie.202207512

发表评论
留言与评论(共有 0 条评论) “”
   
验证码:

相关文章

推荐文章