从胡克定律到量子力学的零点能量,最后还蹦出了拉马努金

一个未拉伸的弹簧,一端固定在墙壁上,另一端系着一个质量为m的块状物体。如果我们拉动这个弹簧块并将弹簧延长一定距离x,弹簧会对质量块施加恢复力F,试图使质量块恢复到平衡位置。我们会发现,恢复力F与伸长量x成正比我们可以将其写成:

从胡克定律到量子力学的零点能量,最后还蹦出了拉马努金

其中负号代表伸长量与恢复力的方向相反。

我们可以通过引入比例常数k来将关系转换为等式,这个常数k也被称为弹簧系数,是衡量弹簧刚度的一种量度。

从胡克定律到量子力学的零点能量,最后还蹦出了拉马努金

考虑一下,如果把弹簧拉长后释放会出现怎样的情况?根据牛顿第二定律,弹簧力会导致质量加速,因此我们可以用ma代替弹簧力F,并重新排列成如下公式:

从胡克定律到量子力学的零点能量,最后还蹦出了拉马努金

上面这个公式实际上描述了一种特殊的运动类型:简谐运动,它是宇宙中各种振动的核心,为了更深入了解这个公式,我们将其写为二阶微分形式。

从胡克定律到量子力学的零点能量,最后还蹦出了拉马努金

因此,结合加速度的二阶形式与胡克定律,我们就有了以下公式:

从胡克定律到量子力学的零点能量,最后还蹦出了拉马努金

这个微分方程描述了弹簧的位移随时间的变化,我们知道它的解为:

从胡克定律到量子力学的零点能量,最后还蹦出了拉马努金

然后,我们再将其两次微分后代入微分方程中:

从胡克定律到量子力学的零点能量,最后还蹦出了拉马努金

因此,我们可以得到该系统的圆频率或周期:

从胡克定律到量子力学的零点能量,最后还蹦出了拉马努金

我们还关心系统的总能量,它等于动能和势能之和,可以列出下式:

从胡克定律到量子力学的零点能量,最后还蹦出了拉马努金

注意到ω与k的关系k=mω^2,我们可以得到总能量的公式:

从胡克定律到量子力学的零点能量,最后还蹦出了拉马努金

到目前为止,这些都是些典型的推导,相信大家都已经滚瓜烂熟了。接下来,我们将把量子力学加上去。

零点能量

真空中的最低能量称为零点能量,量子力学认为它非零,它是不确定性原理所要求的最小值。不确定性原理认为,我们不能同时精确地测量粒子的动量和位置,它的公式如下:

从胡克定律到量子力学的零点能量,最后还蹦出了拉马努金


以弹簧系统为例,如果弹簧未伸展且处于静止状态,那么我们就精确地知道它的位置和它的动量,显然与不确定性原理相悖,所以量子弹簧存在最低能量的振荡。为了计算弹簧系统的最低能量,我们需要对能量公式进行些微修改:

从胡克定律到量子力学的零点能量,最后还蹦出了拉马努金

我们将上式中能量E替换成ΔE,动量p替换成Δp,x替换成Δx,代入不确定性原理的公式中:

​​

从胡克定律到量子力学的零点能量,最后还蹦出了拉马努金


由于能量不随x的变化而变化,所以我们有:

​​

从胡克定律到量子力学的零点能量,最后还蹦出了拉马努金

我们可以得到:

​​

从胡克定律到量子力学的零点能量,最后还蹦出了拉马努金


把它重新代入方程并简化,得到:

​​

从胡克定律到量子力学的零点能量,最后还蹦出了拉马努金


因此,我们可以得到量子振荡器的最低能量为:

​​

从胡克定律到量子力学的零点能量,最后还蹦出了拉马努金


卡西米尔效应

从胡克定律到量子力学的零点能量,最后还蹦出了拉马努金

简单来说,在真空中的两片不带电金属板之间会产生吸力,这就是卡西米尔效应。量子场论认为,空间中都是振动的场,这些振动的场在金属板之间要满足边界条件,只有驻波才能存活下来。也就是说,只有整数倍波长等于板间距L的才能存活(nλ=L),其中n为整数,写成公式如下:

​​

从胡克定律到量子力学的零点能量,最后还蹦出了拉马努金


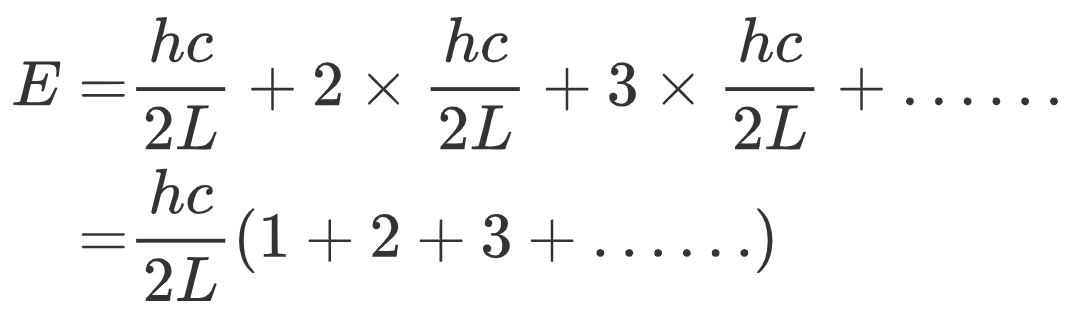
把所有这些波长的能量都相加起来,就有:

从胡克定律到量子力学的零点能量,最后还蹦出了拉马努金

现在,问题就变成所有自然数之和等于多少了?我们经常在网上看到一个奇怪的结果,很多人都说它是不对的,实际上它来自数学家拉马努金:

从胡克定律到量子力学的零点能量,最后还蹦出了拉马努金

问:我们是否可以把它带进去呢?这里就留给你们思考,请留下你的评论。

发表评论
留言与评论(共有 0 条评论) “”
   
验证码:

相关文章

推荐文章