高通量评估!深入理解镍基高温合金的微观结构-性能联系

导读

文中利用球形纳米压痕法在微尺度上有效地测量压痕应力-应变(ISS)曲线,并在存在热裂纹的选择性激光熔炼镍基高温合金(IN738LC)上得到了证实,证明了该球形纳米压痕法适用于AM材料的局部力学性能的高通量评估。


增材制造(AM)已成为先进材料设计和生产的新方式,其独特之处在于通过逐层沉积薄层材料来构建复杂零件,能生产比传统方法更复杂的微观结构,并有效地评估力学性能,从而建立微观结构-性能对应关系,为微观结构加工提供指导,这对于AM的发展至关重要。

传统的力学测试并非最佳测量AM材料的局部力学性能的方法,对于在AM过程中容易开裂的材料,通常无法进行整体力学试验。尽管小型化试样可以避免这个问题,但需要试样制备耗尽、严格的测试条件和有限的仪器接入。因此,与AM中日益增长的研究兴趣相反,AM材料的局部力学性能的高通量评估难以实现,限制了对结构-性能联系的深入理解和利用。

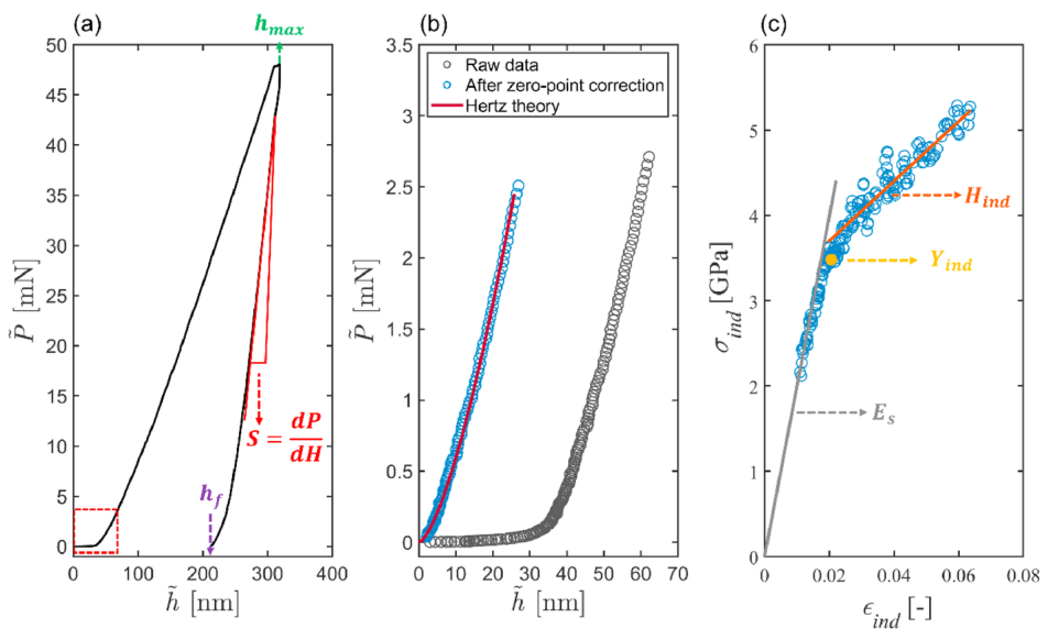
为了弥补这种知识差距,南方科技大学朱强教授课题组联合清华大学的研究团队利用球形纳米压痕法在微尺度上有效地测量压痕应力-应变(ISS)曲线。相关成果以题为“High-throughput assessment of local mechanical properties of a selective-laser-melted non-weldable Ni-based superalloy by spherical nanoindentation” 发表于《Materials Science & Engineering》。文中以一种具有高经济价值且具有多相多晶组织的选择性激光熔炼镍基高温合金(IN738LC)为例,结合压痕位置的局部微观结构测量,获得并分析了丰富的微观结构-性能联系。


高通量评估!深入理解镍基高温合金的微观结构-性能联系


结果显示,测得的平均弹性模量(193±9 GPa)与文献数据一致。ISS曲线与尺寸和晶体取向相似的微柱压缩结果相当。然而,由于尺寸效应,压痕屈服应力高于整体拉伸试验的屈服应力。


高通量评估!深入理解镍基高温合金的微观结构-性能联系

高通量评估!深入理解镍基高温合金的微观结构-性能联系

高通量评估!深入理解镍基高温合金的微观结构-性能联系

高通量评估!深入理解镍基高温合金的微观结构-性能联系

高通量评估!深入理解镍基高温合金的微观结构-性能联系

高通量评估!深入理解镍基高温合金的微观结构-性能联系

高通量评估!深入理解镍基高温合金的微观结构-性能联系

高通量评估!深入理解镍基高温合金的微观结构-性能联系


结合表面形貌、元素分布和晶体取向分析,发现微观尺度上存在较强的组织性能梯度。晶体取向决定了压痕周围的堆积模式,但对压痕应力σind的影响很弱,相反,σind对局部沉淀分布很敏感。当压痕接近晶界时,晶界引导了应变硬化行为。由于压痕下方的流体应力会抑制裂纹扩展,即使压痕含有微裂纹,ISS曲线也同样可以触达。


高通量评估!深入理解镍基高温合金的微观结构-性能联系

高通量评估!深入理解镍基高温合金的微观结构-性能联系

高通量评估!深入理解镍基高温合金的微观结构-性能联系

高通量评估!深入理解镍基高温合金的微观结构-性能联系

高通量评估!深入理解镍基高温合金的微观结构-性能联系

高通量评估!深入理解镍基高温合金的微观结构-性能联系

高通量评估!深入理解镍基高温合金的微观结构-性能联系

高通量评估!深入理解镍基高温合金的微观结构-性能联系


免责声明:本文原创自期刊正式发表论文,仅供学术交流,数据和图片来源于所属出版物,如有侵权请联系删除。

发表评论
留言与评论(共有 0 条评论) “”
   
验证码:

相关文章

推荐文章