人工智能的未来是模拟的吗?印度研究者提出未来模拟AI芯片的框架

人工智能的未来是模拟的吗?新框架扩展模拟AI芯片:为了重振模拟芯片设计的需求,印度科学研究所(IISC)的研究人员描述了未来模拟AI芯片的框架。

随着该行业继续推动机器学习(ML)和人工智能(AI)的低功耗和更高性能处理,大量新概念和技术已成为舞台的中心。其中,模拟计算已成为一种令人兴奋的更高效的处理方法。

尽管如此,对于这种给定的应用程序,该技术相对较新,并且还有很大的改进空间。本周,印度IISC的研究人员发表了一篇新论文,描述了可扩展模拟AI芯片未来的新框架。

人工智能的未来是模拟的吗?印度研究者提出未来模拟AI芯片的框架

IISC的ARYABHAT-1芯片

本文将讨论模拟计算对AI的好处,该技术面临的一些挑战以及IISC的最新研究成果。

为什么会转向模拟?

模拟计算是一种早于数字计算的技术,但随着数字技术的起飞,它在很大程度上被遗忘了。现在,研究人员再次寻求模拟,这一次它似乎在几个方面都把数字技术击败了。

人工智能的未来是模拟的吗?印度研究者提出未来模拟AI芯片的框架

传统的冯·诺依曼架构受到数据移动的瓶颈的限制

随着数据速率的提高、工艺节点的缩小和芯片全局互连线的延长,行业中一个新兴趋势受到数据移动能量的重大影响。

越来越多的寄生效应导致数据进出存储器的物理移动已成为整体芯片功耗的最重要因素之一。再加上ML,一个数据密集型应用,我们发现冯·诺依曼架构不再适合AI /ML的应用场景。

人工智能的未来是模拟的吗?印度研究者提出未来模拟AI芯片的框架

模拟AI将处理直接带到内存中

相反,模拟计算允许在内存中计算,其中数据可以在存储的地方进行处理。主要好处是总体上数据移动量的显著减少,从而减少了总体能量的支出。

这样,与用于 AI/ML 应用的传统数字电子设备相比,模拟 AI 可将电源效率提高多达 100 倍。

模拟 AI 扩展的挑战

尽管具有效率优势,但模拟计算在成为数字计算的合格竞争对手之前仍面临一些挑战。

AI/ML模拟计算设计的主要挑战之一是,与数字芯片不同,模拟处理器的测试和协同设计是困难的。传统上,VLSI(超大规模集成)设计可以由数百万个晶体管组成,但工程师可以通过编译高级代码来综合设计。此功能允许将同一设计轻松移植到不同的工艺节点和技术代系中。

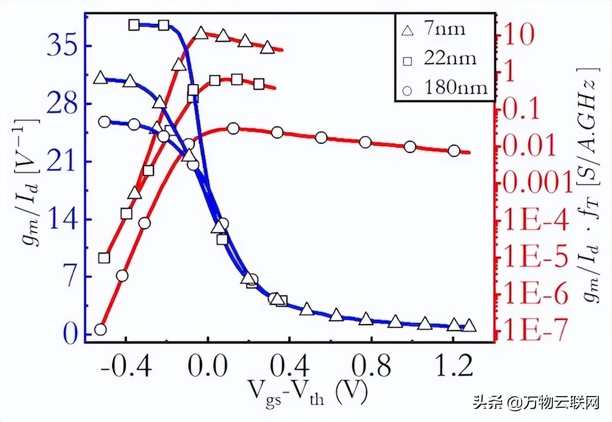
人工智能的未来是模拟的吗?印度研究者提出未来模拟AI芯片的框架

跨导 (gm/Id) 作为不同过程节点处 (Vgs–Vth) 的函数

跨导 (gm/Id) 作为不同过程节点处 (Vgs–Vth) 的函数。上图显示了扩展模拟设计所面临的挑战,将不会像数字域处理那样轻松。

然而,模拟芯片由于晶体管偏置设置、温度变化和有限动态范围的差异而无法轻松扩展。结果是,每个新一代设计和工艺节点都需要单独定制和重新设计。这一结果不仅使设计更加耗时且昂贵,而且还使其可扩展性降低,因为向新一代新技术的过渡需要更多的手动工作。

为了使模拟AI成为主流,首先需要解决设计和可扩展性方面的挑战。

印度IISC的AI扩展框架

为了解决这个问题,印度IISC的研究人员在他们最近发表的论文中提出了一种可扩展模拟计算设计的新框架。

他们工作的关键概念围绕着边距传播(MP,margin propagation)的泛化,这是一种数学工具,以前在使用MP原理合成模拟分段线性计算电路时显示出价值。

基于这种概括,研究人员开发了一种新颖的基于形状的模拟计算(S-AC)框架,允许研究人员近似ML架构中常用的不同功能。

人工智能的未来是模拟的吗?印度研究者提出未来模拟AI芯片的框架

基于所提模拟框架构建的芯片的测试设置

结果是一个模拟计算框架,可以成功地在准确性与速度和功耗之间进行权衡,就像数字设计一样,并且还可以跨不同的工艺节点和偏置电压设置进行扩展。

作为概念验证,研究人员实现了许多S-AC电路,以在几个不同的过程中表示ML中的常见数学函数。在此过程中,研究人员成功地使用电路仿真来证明,在180 nm CMOS工艺和7 nm FinFET工艺中,电路I / O特性都基本保持相同,且合理。

通过新框架,研究人员希望能够在不久的将来创造出更具可扩展性和成本效益的模拟AI设计。

发表评论
留言与评论(共有 0 条评论) “”
   
验证码:

相关文章

推荐文章