DW:优化目标检测训练过程,更全面的正负权重计算 - CVPR 2022

论文提出自适应的label assignment方法DW,打破了以往耦合加权的惯例。根据不同角度的一致性和非一致性指标,动态地为anchor分配独立的pos权重和neg权重,可以更全面地监督训练。此外,论文还提出了新的预测框精调操作,在回归特征图上直接精调预测框

来源:晓飞的算法工程笔记 公众号

论文:A Dual Weighting Label Assignment Scheme for Object Detection

DW:优化目标检测训练过程,更全面的正负权重计算 | CVPR 2022

  • 论文地址:https://arxiv.org/abs/2203.09730
  • 论文代码:https://github.com/strongwolf/DW

Introduction


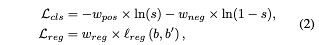
  Anchor作为目标检测器训练的基础单元,需要被赋予正确的分类标签和回归标签,这样的标签指定(LA, label assignment)过程也可认为是损失权重指定过程。对于单个anchor的cls损失计算,可以统一地表示为:

DW:优化目标检测训练过程,更全面的正负权重计算 | CVPR 2022

  和为正向权重和反向权重,用于控制训练的方向。基于这个设计,可以将LA方法分为两个大类:

  • Hard LA:每个anchor都可被分为pos或neg,即以及,这类方法的核心在于找到区分正负anchor的界限。经典的做法直接采用固定的IoU阈值进行判断,忽略了目标在大小和形状上的差异。而近期如ATSS等研究则提出动态阈值的概念,根据具体的IoU分布来划分anchor。但对于训练来说,不管是静态还是动态的Hard LA方法,都忽略了anchor本身的重要性差异。
DW:优化目标检测训练过程,更全面的正负权重计算 | CVPR 2022

  • Soft LA:为了克服Hard LA的缺点,GFL和VFL等研究提出了soft权重的概念。这类方法基于IoU为每个anchor设定soft label目标,并且根据cls分数和reg分数为anchor计算和。但目前这些方法都专注于的设计,一般直接从中衍生而来,导致网络缺少来自于neg权重的监督信息。如图1所示,GFL和VFL为质量不同的anchor赋予相似的损失权重,这可能会降低检测器的性能。

  为了给检测器提供更多的监督信息,论文提出了新的LA方法DW(dual weighting),从不同的角度单独计算和并让其能够互补。此外,为了给权重计算函数提供更准确的reg分数,论文还提出了新的bbox精调操作,预测目标的边界位置并根据对应的特征产生更准确的精调信息。

Proposed Method


Motivation and Framework

  由于NMS的存在,检测器应该预测一致的bbox,既有高分类分数也有准确的位置定位。但如果在训练时平等地对待所有的训练样本,而cls分数越高的预测结果的reg位置不一定越准确,这往往会导致cls head与reg head之间就会存在不一致性。为此,Soft LA通过加权损失来更柔和地对待训练样本,加强cls head与reg head的一致性。基于Soft LA,anchor的损失可以表示为:

DW:优化目标检测训练过程,更全面的正负权重计算 | CVPR 2022

  其中为预测的cls分数。为一致性更高的预测结果分配更大的和,能够使得网络专注于学习高质量的预测结果,减轻cls head与reg head的不一致问题。

DW:优化目标检测训练过程,更全面的正负权重计算 | CVPR 2022

  当前的方法直接将设置为,主要关注如何定义一致性以及如何将其集成到损失权重中。表1总结了一些方法对和的计算公式,这些方法先定义用于度量一致性的指标,随后将作为不一致性的度量指标,最后添加缩放因子将指标集成到损失权重中。
 上述方法的和都是高度相关的,而论文认为pos和neg权重应该以prediction-aware的方式单独设置,具体如下:

  • pos weighting function:以预测的cls分数和预测框的IoU作为输入,预测两者的一致性程度作为pos权重。
  • neg weighting function:同样以预测cls分数和预测框的IoU作为输入,但将neg权重定义为anchor为负的概率以及anchor作为负的重要程度的乘积。

  通过上述定义,对于pos权重相似的这种模棱两可的anchor,就可以根据不同的neg权重得到更细粒度的监督信息

DW:优化目标检测训练过程,更全面的正负权重计算 | CVPR 2022

  DW方法的整体流程如图2所示,先根据中心点距离来为每个GT构造候选正样本集,其余的anchor为候选负样本。由于负样本的统计信息十分混乱,所以不参与权重函数的计算。候选正样本会被赋予三个权重、以及,用于更有效地监督训练。

Positive Weighting Function

  pos权重需要反映预测结果对检测性能的重要性,论文从目标检测的验证指标来分析影响重要性的因素。在测试时,通常会根据cls分数或cls分数与IoU的结合对单分类的预测结果进行排序,从前往后依次判断。正确的预测需满足以下两点:

  • a. 与所属GT的IoU大于阈值。
  • b. 无其他排名靠前且所属GT相同的预测结果满足条件a。

  上述条件可认为是选择高ranking分数以及高IoU的预测结果,也意味着满足这两个条件的预测结果有更大概率在测试阶段被选择。从这个角度来看,pos权重就应该与IoU和ranking分数正相关。首先定义一致性指标,用于度量两个条件的对齐程度:

DW:优化目标检测训练过程,更全面的正负权重计算 | CVPR 2022

  为了让不同anchor的pos权重的方差更大,添加指数调节因子:

DW:优化目标检测训练过程,更全面的正负权重计算 | CVPR 2022

  最终,各anchor的pos权重会根据对应GT的候选anchor的pos权重之和进行归一化。

Negative Weighting Function

  pos权重虽然可以使得一致的anchor同时具有高cls分数和高IoU,但无法区分不一致anchor的重要程度。如前面图1所示,anchor D定位校准但分类分数较低,而anchor B恰好相反。两者的一致性程度一致,pos权重无法区分差异。为了给检测器提供更多的监督信息,准确地体现anchor的重要程度,论文提出为两者赋予更清晰的neg权重,具体由以下两部分构成。

  • Probability of being a Negative Sample

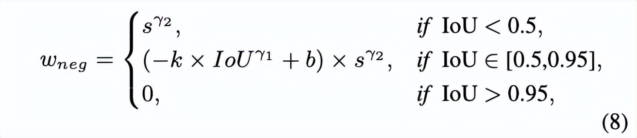
  根据COCO的验证指标,IoU不满足阈值的预测结果一律归为错误的检测。所以,IoU是决定achor为负样本的概率的唯一因素,记为。由于COCO使用0.5-0.95的IoU阈值来计算AO,所以应该满足以下规则:

DW:优化目标检测训练过程,更全面的正负权重计算 | CVPR 2022

  任意上单调递减的函数都可以作为中间部分。为了简便,论文采用了以下函数:

DW:优化目标检测训练过程,更全面的正负权重计算 | CVPR 2022

  公式6需要穿过点和,一旦确定了,参数和可通过待定系数法确定。

DW:优化目标检测训练过程,更全面的正负权重计算 | CVPR 2022

  图3展示了不同下的曲线。

  • Importance Conditioned on being a Negative Sample

  在推理时,ranking队列中靠前的neg预测结果虽然不会影响召回率,但会降低准确率。为了得到更高的性能,应该尽可能地降低neg预测结果的ranking分数。所以在训练中,ranking分数较高的neg预测结果应该比ranking分数较低的预测结果更为重要。基于此,定义neg预测结果的重要程度为ranking分数的函数:

DW:优化目标检测训练过程,更全面的正负权重计算 | CVPR 2022

  最终,整体的neg权重变为:

DW:优化目标检测训练过程,更全面的正负权重计算 | CVPR 2022

 与负相关,与正相关。对于pos权重相同的anchor,IoU更小的会有更大的neg权重。在兼容验证指标的同时,能给予检测器更多的监督信息。

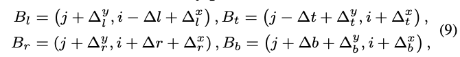
Box Refinement

  pos权重和neg权重都以IoU作为输入,更准确的IoU可以保证更高质量的训练样本,有助于学习更强的特征。为此,论文提出了新的box精调操作,基于预测的四条边的偏移值进行下一步的精调。

DW:优化目标检测训练过程,更全面的正负权重计算 | CVPR 2022

  考虑到目标边界上的点有更大的概率预测准确的位置,论文设计了可学习的预测模块,基于初步的bbox为每条边生成边界点。如图4所示,四个边界点的坐标定义为:

DW:优化目标检测训练过程,更全面的正负权重计算 | CVPR 2022

  其中,为精调模块的输出。最后,结合边界点的预测和精调模块的输出,最终精调后的anchor偏移为:

DW:优化目标检测训练过程,更全面的正负权重计算 | CVPR 2022

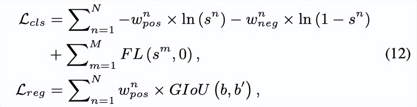
Loss Function

  DW策略可直接应用到大多数的dense检测器中。论文将DW应用到FCOS中并进行了少量修改,将centerness分支和分类分支合并成cls分数,网络的损失为:

DW:优化目标检测训练过程,更全面的正负权重计算 | CVPR 2022

DW:优化目标检测训练过程,更全面的正负权重计算 | CVPR 2022

  这里的跟公式3是同一个,和分别为候选anchor数和非候选anchor数。

Experiment


DW:优化目标检测训练过程,更全面的正负权重计算 | CVPR 2022

  平衡超参数对性能的影响。

DW:优化目标检测训练过程,更全面的正负权重计算 | CVPR 2022

  候选anchor选择方法对性能的影响。第一种为中心点的距离阈值,第二种选择最近的几个,第三种为距离权重与pos权重乘积排序。

DW:优化目标检测训练过程,更全面的正负权重计算 | CVPR 2022

  neg权重计算方式对比。

DW:优化目标检测训练过程,更全面的正负权重计算 | CVPR 2022

  LA研究之间的对比。

DW:优化目标检测训练过程,更全面的正负权重计算 | CVPR 2022

  与SOTA检测算法对比。

Conclusion


  论文提出自适应的label assignment方法DW,打破了以往耦合加权的惯例。根据不同角度的一致性和非一致性指标,动态地为anchor分配独立的pos权重和neg权重,可以更全面地监督训练。此外,论文还提出了新的预测框精调操作,在回归特征图上直接精调预测框。



如果本文对你有帮助,麻烦点个赞或在看呗~
更多内容请关注 微信公众号【晓飞的算法工程笔记】

work-life balance.

发表评论
留言与评论(共有 0 条评论) “”
   
验证码:

相关文章

推荐文章