
弗里德曼方程由苏联物理学家弗里德曼于1922年提出,至今依然是理解宇宙运动和演化的核心方程,描述我们所处在一个均匀且各向同性的膨胀宇宙。如今,物理学家终于找到方程的解析解,并根据新的理论,我们所处宇宙正如所观察的那样“平”,并不特殊。
撰文 | 董唯元
引子
当我们在太阳系里发现个陌生的天体,只要记录一小段运行轨道,就可以判断出这个天体到底是系内小行星还是系外过客。天文学家是如何做到窥一斑而知全豹的呢?其实就是靠我们中学时候学过的离心率e。
我们知道在引力作用下,天体的轨道是条圆锥曲线。如果e>1,说明轨道是双曲线;如果e=1,轨道是抛物线。这两种情况都说明轨道是开放的,这个天体是系外过客,在太阳旁边溜达一次之后就不会再回来。而如果e<1,说明轨道是闭合的椭圆,天体会周期性地绕着太阳转。

标度因子
类似地,我们在描述宇宙整体演化的时候,也需要些指示性的参数。其中最基础也最重要的就是标度因子a,它代表随宇宙同步膨胀/收缩的坐标系中,坐标距离与实际物理距离的比例关系。所谓宇宙在膨胀,就是指a在变大。
现在的宇宙膨胀速度大约为每10亿年两点间物理距离增加7%。如果定义今天的a=100光年,即共动坐标系中的单位坐标距离1,对应实际物理距离100光年,那么10亿年后随着宇宙膨胀,共动坐标系也被拉伸了,单位坐标距离1就对应实际物理距离107光年,也就是a=107光年。

出于对自我中心主义的“鄙夷”,以及天文观测的事实,我们相信宇宙各处的各个方向都在均匀同步膨胀,只是在不同时间阶段的膨胀速度有所不同。于是a就与空间位置和方向都无关,仅是时间的函数a(t)。如果有读者听过那个“处处均匀且球形对称”的老梗,宇宙学中的标度因子绝对算是典型代表之一。

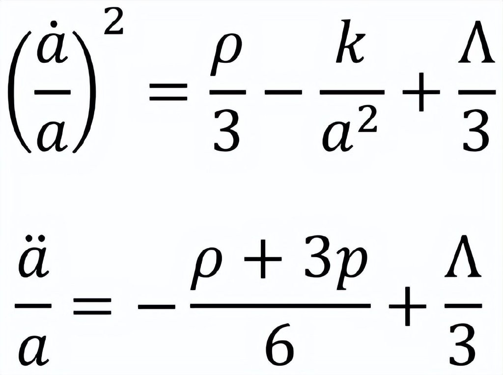
宇宙学运动方程
翻开任何一本宇宙学的教科书,开篇就会提到两个方程。


这就是弗里德曼第一方程和第二方程。1922年,前苏联物理学家弗里德曼(Alexander Friedmann,1888-1925)从广义相对论方程推导出了这组方程。时至今日整整100年已经过去,它仍然是研究宇宙演化规律的理论核心。
为了看起来更清爽,我们可以用普朗克单位制,约定c=8πG=1,于是方程组就变成了




面”,朝任何方向一直走出足够远就会回到起点。k=-1则意味着空间像马鞍面那样具有负曲率,只不过马鞍面是二维,而宇宙空间是三维。k=0就对应着宇宙空间“平直”,目前的天文观测数据显示,我们身处的宇宙应该非常接近“平直”的情况。当仅探讨我们这个宇宙时,往往都直接取k=0再进行推演。
Λ本来是广义相对论方程中的“宇宙常数”,数学意义上可以是任意常数,物理意义上代表着真空本身所具备的能量,其密度不会随着膨胀而衰减。弗里德曼方程最初的形式中并不含此项,因为当时物理学家压根不会接受真空还能具有能量这回事。
可是,当宇宙在加速膨胀被确认之后,现代宇宙学模型就不得不拾起Λ项这块补丁贴上,以此来代表使宇宙膨胀加速的真空能量。从弗里德曼第二方程就能清楚的看出,如果Λ≦0的

宇宙暗能量
其实,量子场论已经对真空能量的来源提出了好几种理论,有些甚至都有实验验证。可惜的是,无论哪种理论所给出的真空能,都远大于天文实际观测数据,最悬殊的相差了120个数量级,最小的差距也在40个数量级以上。也就是说,宇宙中一定还存在某种压制机制,能够恰到好处地抵消那些实验已经发现的真空能量。
至今仍没有自洽的理论,能够对真空能量的现状做出解释。在这种局面下,宇宙学家只好称其为“暗能量”,并略显简单粗暴地用一个常数项Λ来表示。根据观测数据,如今宇宙中辐


图中橙色代表认知空白部分,蓝色代表存在理论解释和实证的部分,两者分量几乎相当,所以我们未知的部分其实只有50%。
真正厘清了这些关系之后,我们反倒会感觉这“50%”背后所带来的困惑,远远超过了原本对那个“70%”的解读。我们目力所及的一切,无论闪烁的繁星还是黯然寥落的尘埃,甚至包括那些只能通过引力效应向我们展示其存在的暗物质,所有这一切在我们所认识到的能量形式中占比竟然近乎于零。
如果用百分比写出其比例的话,它会是一个小数点后几十位甚至上百位个0的微小数字。幸好有宇宙学和天文观测数据来拯救我们的茫然,否则我们会毫不犹豫地相信,真正统御宇宙的就是真空本身!

这些种种迹象使一部分研究者开始怀疑广义相对论在宇宙尺度上的有效性,也许弗里德曼方程根本不能被应用在宇宙尺度上。然而这种怀疑并没有粗看起来那么合理。要知道我们所面临的是巨大的数量级上的挑战,即使如广义相对论和牛顿力学相去之远,也几乎不可能找到在哪项理论预言上能够出现百倍千倍的不同。
我们当然相信未来必然有更完善的理论出现替代广义相对论,但如果那个理论既能在光年尺度上给出与广义相对论相同的结果,又在百亿光年的宇宙尺度上与广义相对论相差了亿亿亿亿亿倍以上,那实在是令人难以想象的样貌。所以现下匆匆地抛弃弗里德曼方程另起炉灶,未必会找到更好的出路。
求解方程
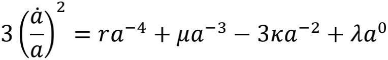
说来有些奇怪,弗里德曼方程诞生100年来,宇宙学家们已经反复研究了它的各种特殊解,但是最一般性的解析解却是直到2022年10月才刚刚被解出,论文[1]作者是加拿大圆周理论物理研究所的Latham Boyle和苏格兰爱丁堡大学希格斯理论物理中心的Neil Turok。
他们解方程的思路非常容易理解。第一步是先把方程写成最一般性的样子:

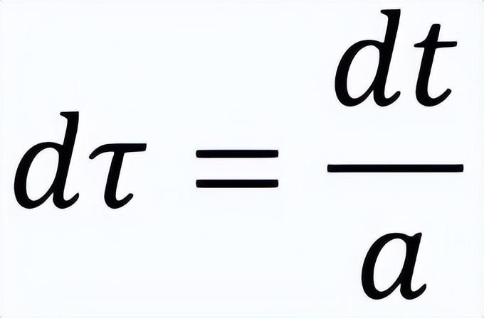
等式右边的四项分别对应辐射能量密度、质量密度、曲率贡献和真空能量密度。然后再对时间标度做个转换,由坐标时间t变换成共形时间τ,二者之间的关系是:

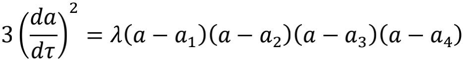
于是弗里德曼方程就变成了

把等式右边的多项式因式分解,方程又能进一步写成


sn(z, m)这个二元函数是解析解的灵魂所在,它是12种雅可比椭圆函数中的一种,性质有些像正弦函数,是个在实轴和虚轴上都有周期性的双重周期函数。所以a(τ)也就具有了双重周期性,像是定义在轮胎表面的函数一样。当然,这个轮胎表面是复平面。

这种数学结构不仅看起来非常有趣,而且为研究宇宙演化提供了非常新颖的思路和工具。复数时间中包含着极为丰富的内容,通过一种名为“威克转动”(Wick rotation)的操作,循环的虚时间就变成了温度;熵就变成了作用量,继而成了量子态演化的相位……许多量子场论中的问题都可以与热力学问题相互转换。利用这套数学技巧,我们甚至可以只用几步就轻松地推导出黑洞温度和黑洞熵。(参见返朴先前的文章《温度与神秘的虚时间 | 众妙之门》)
复数时间相关的工具已经在量子场论和黑洞热力学中司空见惯,但是应用在宇宙学方面还是开拓性的创举。这扇隐藏在方程解析解中的侧门被发现之后,研究者们立即觉察到了一大片低垂的果实等待着摘取。
论文中二位研究者稍微借助黑洞热力学的工具后,很快就得出一个很有价值的成果:在所有可能的宇宙中,曲率为零的平直宇宙占据绝大多数。这也就是说,我们所处的宇宙之所以平直,并非出于巧合,而是像空气分子必然均匀分散在房间中一样,是个自然而然的演化结果。这一结论非常有力地驳斥了“人择主义”色彩浓烈的“精细调节假说”。
另外,论文中还在结尾处顺带提及了真空能演化的相关机制。初步的分析显示,一个初始真空能为正数的宇宙中,无论初值是多少,总会在演化过程中逐渐减小,这背后其实对应着虚时间维度上演化过程的熵增方向。至于更完整详细的分析论证,只能等待二位研究者后续的论文了。
参考文献
[1] “Thermodynamic solution of the homogeneity, isotropy and flatness puzzles
(and a clue to the cosmological constant)”arXiv:2210.01142v2 [gr-qc]

出品:科普中国
| 留言与评论(共有 0 条评论) “” |