一
“淼淼东湖,春水初生,巍巍珞珈,春林初盛。……目遇江城春色满溢,自是欢喜难捺,然忆及三载寒暑过隙,不由百感交集。”
日前,武汉大学公共卫生学院劳动卫生与环境卫生学专业2022届博士毕业生冉俐用文言写就了一篇毕业论文致谢,引起了人民日报及网友的关注。
冉俐是武汉大学2019级博士研究生,在学期间发表SCI论文十余篇,还获得武汉大学优秀研究生、武汉大学学术之星、国家奖学金、学业一等奖学金等荣誉。
在极其专业学位论文最后用文言文表达对学校、父母、老师的致谢,冉俐表示,“因为在上大学前学的是文科,在课外阅读上丰富一点,当时写完论文后,正好灵光乍现,就一气呵成用文言形式写了下来,其实不论以何种形式写毕业论文的致谢,只要是直抒胸臆,能表达出真情实感就好。”
这篇致谢,冉俐既表达了一路走来求学问道、同学相伴的感受:人生跌宕十之八九,志同者道合相惜,遂常以文会之,言笑晏晏。有匪君子,以资切磋,风雨同行,互勉慰藉。
也表达了对父母言传身教的感激:“余自幼受父母言传身教,性恬淡,少碎语,不入鲍鱼之肆,不立他人危墙,履践青衿以致远,盖踵其事而增华,按行自抑,受用终身。寸草春晖无以为报,衔草反哺纸短情长。”
还表达了对母校的热爱和在母校激励下的自我期许:“读律看书廿四年,上下求索路漫长。世路风霜,奋楫笃行,取则行远,不觉其苦。武大弘毅,群英荟萃,山水一程,三生有幸。此去经年,愿一生纯善坦荡,不坠青云之志。”
数百字,点点滴滴,记录了她难以忘怀的三年江城记忆。其导师谭晓东教授评价道,“不仅SCI写得好,其国学功底也同样非凡。”
冉俐则将国学功底归功于“虽然学习和生活中充斥着越来越多的专业书籍,但始终保持着人文社科书籍的阅读习惯和兴趣。”

二
冉俐并非个例,在毕业季,毕业论文成文、答辩的过程中,以文言文写就文末的致谢,似乎成了很多学子专业之余的“最后”浪漫。
日前,同样一篇颇具古风的毕业论文致谢在湖北医药学院师生朋友圈刷屏。它也出自于一位2017级本科毕业生之手。
“巍巍吾校,遑遑上庠。武当铸骨,丹江润魂。立足鄂北,泽被八方。有台橘井,外圆内方,是以端正规矩;有楼科教,迎晨送昏,是以统筹布局……悠悠百草馥郁,难夺湖医人开拓之馨香。百世之师,皓首授业,白衣少年,埋首苦读。”
修习麻醉学专业的王临风用仿骈体文记录了他在湖北医药学院学习生涯中遇到的人、发生的事,并分别致谢人生、致谢父母、致谢母校、致谢师长。
“赞美那已经失去的,好让它在回忆中变得格外可爱。”王临风表示这篇文言文致谢词是他在提交论文终稿前花一个下午撰写的。“我就想着写点什么来给最好的五年划上一个还算圆满的句号,兼以纪念大学里我喜爱着的人们。”
王临风来自江苏徐州,今年24岁,大学期间曾担任校学生通讯社社长,经常在学校校报及各类媒体上发表文章,给学校老师和同学们留下了深刻的印象。他目前已经考取徐州医科大学硕士研究生。

三
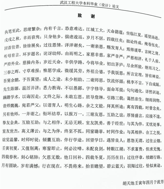
是不是医学生特别喜欢文言文?湖北武汉工程大学的一位本科生胡天池,以四字“诗经体”古风洋洋洒洒写下680字的致谢,证明了“文言致谢”这份“最后”的浪漫并非医学生独有。
“未配良剑,转眼江湖;不求富贵,但求无愧。过往序章,续踏行路。月有圆缺,岁有满憾;行在现在,不畏将来。抬首瞻望,碧云蓝天;羽翔过往,恰似来途。”
广告设计专业的胡天池以对仗工整、运典自如的文风,细数了成长、求学路上的感怀、感恩。胡天池表示,这篇致谢是他花了一下午的时间完成,没有刻意雕琢,文体形式只是辅助。“青春对每个人都很珍贵,我就是想在毕业的时候留下些什么,将来回忆起来应该很有成就感。”

无独有偶,扬州大学文学院2022届硕士毕业生林志江一篇骈体文致谢辞登上了抖音热榜,获690万浏览量,有30余万网友点赞。
“竹西佳处,观琼花三放以谢春;半塘荷畔,蒙名师教诲而成文。文虽已毕,行则尚远;往昔漫漫,非一己之力可至今日;道阻且长,惟心怀感恩方能致远。故寓情于文,以为致谢。
“辞不达意,意难尽言,父母师友,予深谢之。昔日入学,抱定宗旨,求知以丰羽翼;此番毕业,砥砺德行,明志以报家国。路漫漫其修远兮,守德行无亏;舟遥遥以轻飏兮,愿深情不负。”
林志江研究方向为古代文体,在毕业告别之际,选择与自己专业相关的古文形式致谢抒怀,感念师友,他表示,古文有助于增加一些语言形式和音韵上的朦胧美,骈散结合的作文方式也能让情感表达十分自然顺畅。
四
纸短情长,言浅意深。中国人民大学教授冷成金在分析文言之美时说,文言文既有精练、形象的实用之美,也有对偶、平仄的形式之美,还有用典、修辞的意蕴之美,“放言落纸,气韵生动”。
在现在的学术体系下,学位论文末尾的“致谢”,可谓是专业论文里唯一不专业的一片空间。有人借此叙事抒怀,有人凭此感物思人,也有人以此展示个性。而对读者而言,一纸致谢,也是他们唯一能读懂并与作者互动的领域,所以,近几年来,学位论文里的各色“致谢”成了网络传播的热点,相较于言情派、网文派、搞笑派等致谢风格,文言致谢以其文辞优美、情感含蓄、意蕴悠长而让人耳目一新。文言有难度而无专业,“文言致谢”,让人感受到了中国语言文字的特有之美,也让很多人感叹,“艰深”的古文其实并非古董,也是可以随时代变迁而变迁,与生活常遇常新的,无论什么专业、什么经历的学子,推开专业的那一刹那,都可以借文言文表达真实的自己。
(长江日报记者周劼 来源:综合人民日报健康客户端、十堰广播电视台、极目新闻、扬州网)
【编辑:张靖】
更多精彩内容,请在各大应用市场下载“大武汉”客户端。
| 留言与评论(共有 0 条评论) “” |