*仅供医学专业人士阅读参考

在乳腺癌(BC)患者中,心脏代谢危险因素的发生率较高。因此,研究者发起了 Pathways Heart研究,并通过2005~2013年KPNC的资料选取了14942名诊断为乳腺癌的女性,并与74702名未诊断乳腺癌女性进行匹配,以判断高血压、糖尿病和血脂异常发生的风险。
与无乳腺癌疾病史的女性相比,乳腺癌(BC)患者在疾病诊断后患心血管疾病(CVD)的风险更高。既往研究结果表明,对于有乳腺癌病史的女性,最常见的非癌症死亡原因是CVD,因此,有必要确定CVD的风险因素。对心血管系统有害的影响可能来自于乳腺癌患者治疗过程及相关药物,如曲妥珠单抗、蒽环类化疗药物、左侧放疗和内分泌治疗等。相关研究表明,在癌症治疗时,存在普遍心脏代谢危险因素的乳腺癌患者包括超重或肥胖、血脂异常和/或糖尿病患者,这些患者在治疗后发生心脏毒性事件的风险更高。
乳腺癌诊断后,在正常体重或预先存在心血管疾病的患者中,抗肿瘤治疗的长期心脏毒性对发生心脏代谢危险因素的影响在很大程度上尚不清楚。因此,研究者发起了Pathways Heart该研究。该研究是对乳腺癌患者心脏代谢危险因素最大的前瞻性研究之一,平均随访时间为7年。研究结果可以为乳腺癌幸存者癌症治疗后加强心血管预后监测提供证据,并为未来的靶向干预研究奠定基础。
在该项研究中,研究者首先确定了2005年至2013年在北加州凯撒医疗机构(KPNC)诊断出的浸润性乳腺癌患者,并将其与出生年份、种族和民族的非癌症对照组按1:5进行匹配,估计高血压、糖尿病和血脂异常的累积发病率与总体死亡风险相竞争。亚分布风险比(sHRs)通过Fine和Gray回归估计,针对心血管疾病相关风险因素进行调整,并按治疗和体重指数 (BMI)进行分层。
最终,14942名有乳腺癌病史的女性和74702名无乳腺癌病史的女性(对照组)被纳入该项研究。患者的平均年龄为61.2岁,65%为非西班牙裔白人。与对照组相比,乳腺癌患者2年后高血压(10.9% vs. 8.9%)和糖尿病(2.1% vs. 1.7%)的累积发病率较高,10年后持续糖尿病的发病率较高(9.3% vs. 8.8%)(图1)。


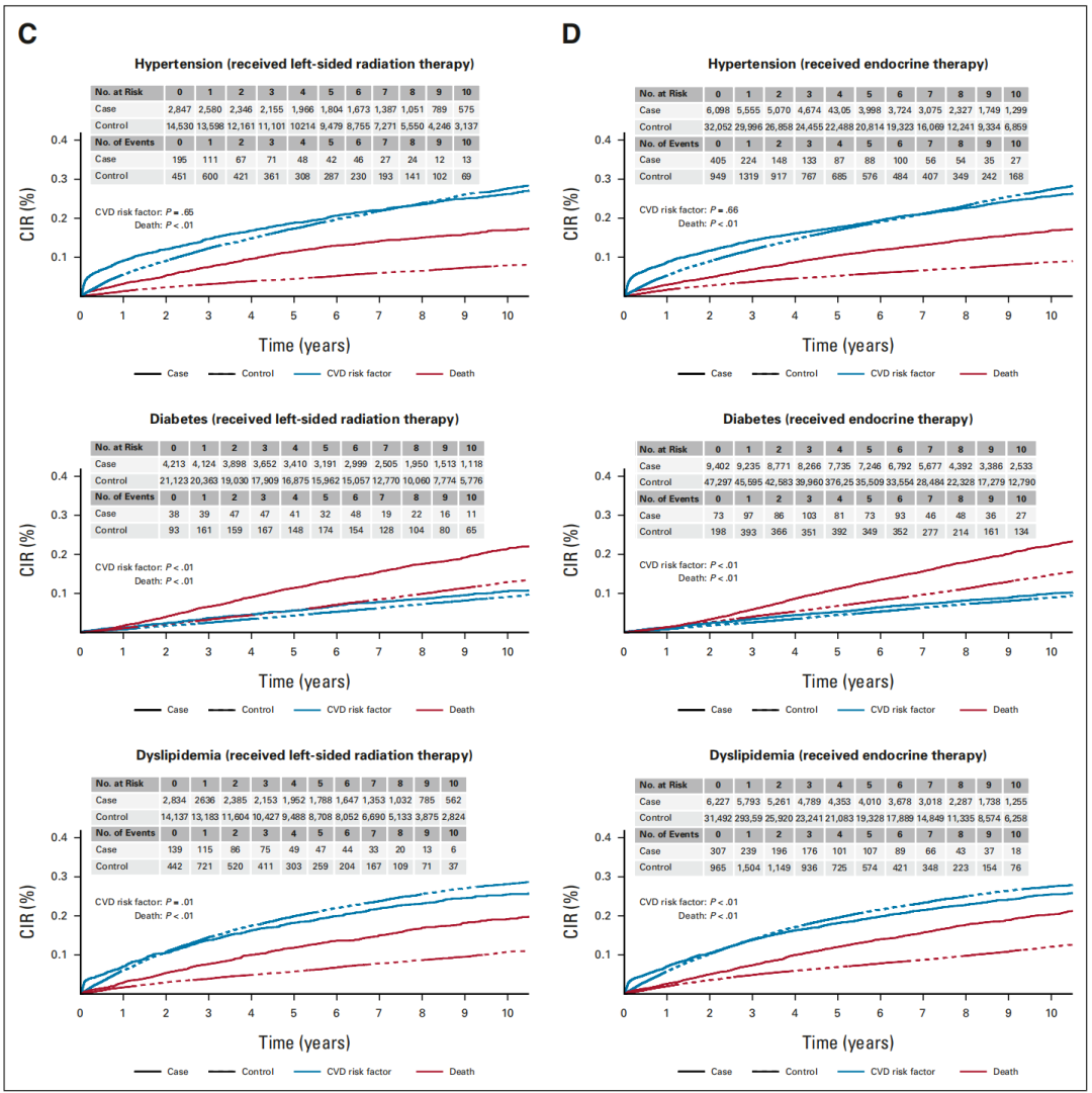
图1. 乳腺癌患者和匹配的对照组的高血压、糖尿病和血脂异常的累积发病率曲线
在多变量模型中,病例有较高的糖尿病风险(sHR,1.16;95%CI:1.07~1.26)。化疗(sHR,1.23;95%CI:1.11~1.38)、左侧放疗(sHR,1.29;95%CI:1.13~1.48)或内分泌治疗(sHR,1.23;95%CI:1.12~1.34)患者的糖尿病风险持续升高。接受左侧放疗(sHR,1.11;95% CI:1.02~1.21)或内分泌治疗(sHR,1.10;95%CI:1.03~1.16)的患者出现高血压的风险较高(表1)。
表1. 按总体和按治疗类型,比较乳腺癌病例与匹配的对照组心脏代谢危险因素的相对风险

在按BMI类别分析的亚组中,与对照组相比,正常体重(BMI<24.9 kg/m2)的乳腺癌患者患高血压(sHR,1.18;95%CI:1.07~1.30)和糖尿病(sHR,1.35;95%CI:1.09~1.67)的风险显著增加(表2)。
表2. 按BMI分类,比较两组患者心脏代谢危险因素的相对风险

与未患乳腺癌的女性相比,KPNC中诊断乳腺癌的幸存者有更高的糖尿病和高血压发生风险,这取决于乳腺癌患者所接受的治疗和BMI。这也提示,未来更多研究应该关注于乳腺癌幸存者预防心脏代谢危险因素的策略上。
参考文献:
[1]. Afifififi AM, Saad AM, Al-Husseini MJ, et al: Causes of death after breast cancer diagnosis: A US population-based analysis. Cancer 126:1559-1567, 2020
[2]. Kwan, Marilyn L et al. “Risk of Cardiometabolic Risk Factors in Women With and Without a History of Breast Cancer: The Pathways Heart Study.” Journal of clinical oncology : official journal of the American Society of Clinical Oncology, JCO2101738. 13 Jan. 2022, doi:10.1200/JCO.21.01738
MCC号KIS22121295有效期2023-12-20,资料过期,视同作废
*此文仅用于向医学人士提供科学信息,不代表本平台观点


| 留言与评论(共有 0 条评论) “” |