之前和别人聊起来潮汐高度的计算,发现大多数做法都是从潮汐力入手,而潮汐力是矢量,处理起来会比较麻烦,况且,除了潮汐力,地球上还有各种由自转、公转导致的其他惯性力,要作出全面分析会比较繁琐。对潮汐高度的计算一般使用均匀球体刚体上覆盖厚层海洋的地球模型,计算海洋表面最高点和最低点的差就能得到潮汐高度。重要的是,理想流体在静平衡时的液面是静力势的等势面,只要得到静力势的等势面方程,就可以求得潮汐高度。
1
理想流体静平衡时的液面
是静外力的等势面
这一点很容易理解。首先,所谓静力,指的是质点静止时受到的力,电磁学中的洛伦兹力、力学中的科里奥利力等都不属于静力。由于本文后面涉及到的静力都是正比于质点质量的,因此本文的所有讨论都局限于满足这个性质的静力上。容易知道,静外力等势面和静外力场处处垂直,只要说明液面也和静外力场处处垂直即可。
当理想流体静平衡时,在液面取一个很薄的圆柱状微元,这个圆柱状微元侧面受到的压力互相抵消,只剩下底面的压力,这个压力是垂直于液面的。另一方面,这个流体微元还受到静外力场的作用,静外力和微元受到的压力互相抵消从而维持住微元的静平衡,所以微元受到的压力和微元受到的静外力平行,换言之,静外力场垂直于液面。
我们还可以作出更严格的证明。假设静外力场为
所以
于是,等压强面和静外力场垂直。静止理想液体的液面是一个等压强面,所以也和静外力场垂直。
2
引力势
设月球质量为

注意,势能函数看成是


地球表面潮汐力示意图(图片来自维基百科)
代入数值,可知月球在地球表面产生的潮汐加速度峰值约为
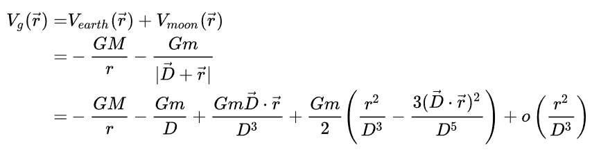
本文主要还是处理静力势,不会过多地涉及潮汐力,因此后文仍旧使用引力势的精确表达式:

3
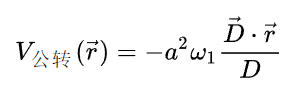
无自转的公转惯性势
虽然人们常说,月球围绕地球转,然而实际情况是,地球和月球都绕着地月系统的质心转动。为了和地球围绕太阳的公转做区分,在本文我将地球绕着地月系统质心的转动称为地月系统的公转,简称地月公转。为简单起见,假设公转为圆周运动。设地月系统的质心到地球中心的距离为
如果不是地球中心处的点呢?我们先忽略地球的自转,把自转效应留到下一小节讨论。在无自转的公转下,星球质点的运动路径示意图如下(参考系为和系统质心保持静止的惯性参考系)

无自转时星球质点的运动路径示意图
图中阴影圆盘表示参与公转的星球,三个不同颜色的实线分别对应质点
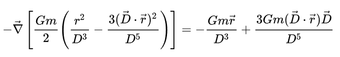
适当选择势的零点,可得这个场导致的惯性势为

接下来我们把
在处理潮汐现象时,月球和地球都不能简单地看成质点。为了求月球对地球地引力,我们同样需要认真分析,先不把它们看成质点。我们知道,均匀球体对球外质点的引力可以通过把均匀球体的所有质量等效到球心来得到,于是我们可以把月球看成一个质点,求这个质点对地球的引力。由于作用力和反作用相等,所以问题又可以表述为求地球对月球这个质点的引力,这样的话地球又可以看成是位于地心的质点。于是,即使考虑月球和地球的形状,求它们之间的引力时依然可以当作质点来计算。这样立即得到
所以地月公转惯性势为

4
地球自转的惯性势
设地球自转角速度为
设地球自转角速度为

说一下题外话,我们可以利用这个势的公式求出水桶中匀速旋转的水的液面方程。假设水桶竖直放置,忽略一切阻力,水桶里的水绕竖直轴以角速度
液面满足

这是旋转抛物面。
5
求潮汐高度
综合前面的结果,在赤道平面上,海平面方程为

以地球中心为坐标原点,以

这是一个精确结果,适用于很多情况。不过,对于地月系统和日地系统,我们还可以进一步近似化简。
设

别看上式第一行这么复杂,其实可以得到非常大的化简。首先,由于
这里的

这些都是势对应的加速度的相反数。而这些加速度里边,唯独地球的重力加速度最大,达到

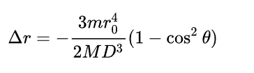
化简得到

其中和地球自转有关的项已经被消掉,于是地球自转效应可以在计算潮汐高度中忽略掉。在这个结果上,其实已经可以求出

于是

可见,潮汐最高点在
其中的
作者:李松,理论物理研究所2021级博士研究生,导师为杨金民研究员。
研究方向:超对称唯象相关。
转载内容仅代表作者观点
不代表中科院物理所立场
如需转载请联系原公众号
来源:中科院理论物理研究所
微信号|ITP-CAS
开放 交融 求真 创新
·中科院理论物理研究所·
编辑:乐子超人
| 留言与评论(共有 0 条评论) “” |