中科大在湍动磁场重联电子加速领域取得重要进展

澎湃新闻记者 王蕙蓉

近日,中国科学技术大学陆全明和王荣生研究团队,在湍动磁场重联电子加速研究领域取得重要进展。相关成果在线发表于《自然·通讯》(Nature Communications)。

论文第一作者为中科大博士生李新民,共同通讯作者为中科大地球和空间科学学院教授王荣生和陆全明。

中科大在湍动磁场重联电子加速领域取得重要进展

图片来自《自然·通讯》(Nature Communications)

基于地球磁层多尺度卫星(MMS)原位探测数据,前述团队首次发现磁场重联扩散区可演化为湍流态。在处于湍动态的磁场重联扩散区,电子可通过多种加速机制(二阶费米、电子感应加速器加速、静电势等)被有效地加速至相对论能量(约为300KeV,KeV为千电子伏特),并在分布函数上呈现幂律谱分布。幂律分布是指某个具有分布性质的变量,且其分布密度函数是幂函数的分布。

磁场重联是一种基本的等离子体物理过程。该过程中,磁自由能被快速地释放而转化为等离子体动能和热能,并产生高能电子。由磁场重联产生的高能电子被认为是伽马射线爆,太阳耀斑,以及磁暴等现象的主要驱动原因。

等离子体湍流是另一种基础的等离子体现象,广泛存在于空间等离子环境中。在等离子体湍流中,能量可以从大尺度输运到小尺度,最终在动力学尺度被耗散,并加热或加速等离子体。

前述两个基础的等离子体物理过程相互耦合,湍流可以由重联产生。反过来,重联的演化也会受到湍流影响。

中科大在湍动磁场重联电子加速领域取得重要进展

图1:重联事例概览,(a)-(e)分别为磁场、离子流速、电子温度、电流密度和高能电子通量,图片来自中科大

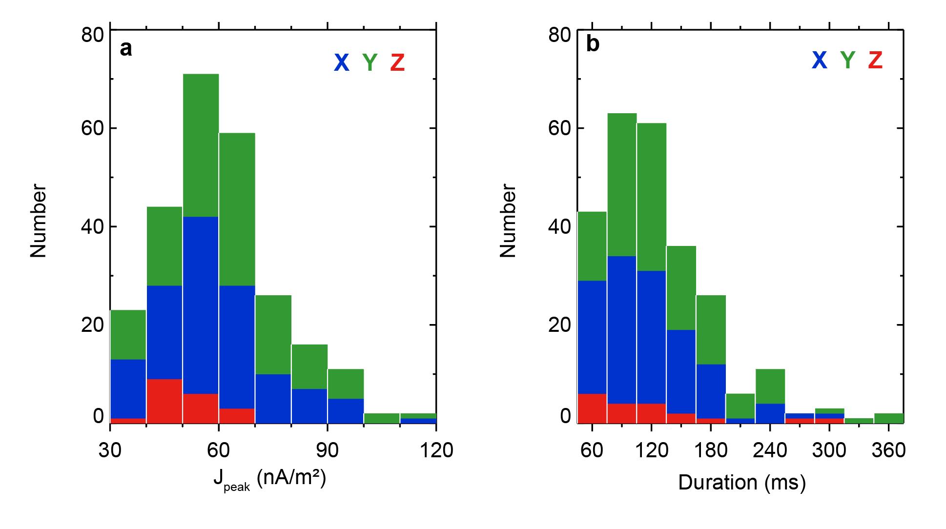
利用高时空分辨率、高精度的卫星数据,研究团队在地球磁尾电流片中观测到一个正在发生重联的电流片,而且卫星穿越了重联的扩散区(如图1中阴影部分)。与典型重联模型不同,该扩散区不是一个完整的层流电流片,而是破碎为大量电流丝(如图1d)。这些不同强度(如图2a),不同尺度的电流丝 (如图2b)在扩散区内沿着各个方向延伸(主要为x和y方向),并相互交织,形成了一个三维的网状电流体系,即该扩散区处于湍流状态。

中科大在湍动磁场重联电子加速领域取得重要进展

图2:扩散区内丝状电流丝的统计特征,(a)为丝状电流丝强度,(b)为丝状电流持续时间(尺度),颜色表示地心-太阳黄道坐标系(GSE)下电流丝的主导方向,图片来自中科大

在前述湍流态的扩散区内,高达300KeV的高能电子通量显著增加(如图1e),且高能电子在分布函数上呈现幂律谱分布(如图3)。研究结果表明,重联的扩散区可以演化为湍流状态,电子在湍流态的扩散区内可被有效加速至几百KeV。

中科大在湍动磁场重联电子加速领域取得重要进展

图3:电子分布函数,其中黑色为背景电子分布,图片来自中科大

责任编辑:李跃群

校对:栾梦

发表评论
留言与评论(共有 0 条评论) “”
   
验证码:

相关文章

推荐文章