次表面氧缺陷电子作用于In₂O₃的活性位点增强光热催化CO₂还原


次表面氧缺陷电子作用于In₂O₃的活性位点增强光热催化CO₂还原

第一作者:魏伟钦

通讯作者:欧阳述昕

通讯单位:华中师范大学

论文DOI:10.1038/s41467-022-30958-5



全文速览

华中师范大学欧阳述昕课题组开发了金属In-In2O3催化剂,以次表面氧缺陷助力光热催化CO2还原。相比于In2O3,该催化剂的产出CO的TOF活性提高了两个数量级。研究表明包埋于金属In周围丰富的次表面氧缺陷对活性位点的反应性能提高起到了重要的作用。在金属In的作用下,次表面氧缺陷的电子被输送至表面氧缺陷,增加了表面氧缺陷的电子密度,进而有利于表面活性位点与CO2/中间产物的相互作用。相关内容以题为“Subsurface oxygen defects electronically interacting with active sites on In2O3 for enhanced photothermocatalytic CO2 reduction”发表在Nature Communications上。



背景介绍

随着经济的快速发展,过度的CO2排放已造成严重的环境问题。如何有效解决这一问题受到各国的高度重视。利用太阳能来驱动CO2的还原成为有效减少大气中CO2实现碳中和的重要途径之一。In2O3被视为CO2还原的理想催化剂,因为其价格较低、来源广、制备简单、化学性质稳定。氧缺陷广泛分布于In2O3并作为CO2还原的活性位点,对其浓度和结构的调节可实现催化性能的优化。但是,对氧缺陷的结构调节以实现单个位点的高反应性在In2O3材料体系的研究中鲜有报道。



本文亮点

第一、通过金属In的作用,明显提高了In2O3表面活性位点的反应活性;

第二、提出了次表面氧缺陷的电子共享机制:O-In-Vo(O)-In-In结构有助于次表面氧缺陷的电子离域至表面氧缺陷,从而提高表面活性位点的电子密度。



图文解析

温度依赖的表面重构

次表面氧缺陷电子作用于In₂O₃的活性位点增强光热催化CO₂还原

图1 a)温度依赖的表面重构示意图;b)In2O3和c)In-Em In2O3的TEM图;d)In-Em In2O3的HRTEM图;e)In-Em In2O3和f)金属In纳米颗粒负载型In2O3的AFM图;g)三种类型的氧缺陷示意图。


作者以水热法制备无定形In(OH)3,高温焙烧得到In2O3晶体。接着在H2/Ar氛围下还原In2O3,得到不同还原程度的In2O3。其中包括两类:一类是仅发生表面还原,另一类是同时表面和体相还原(图1a)。因此,调控合适还原温度是制备催化剂的关键因素。原始的In2O3是几百纳米的二维纳米片,经过H2还原后,尺寸收缩,但仍为二维结构(图1b和1c)。并且,催化剂表面可观察到一些亮点,结合XRD的金属In衍射峰,我们推断其为金属In。高分辨TEM图展示了In2O3和金属In的晶格条纹(图1d)。金属In在In2O3表面可能有两种状态:一种是负载于In2O3表面,另一种是嵌入于In2O3晶格。通过AFM图,我们观察催化剂表面的形态,其高度起伏在1 nm左右,在误差范围内,可以近似催化剂表面很平滑(图1e)。作者还制备金属In负载于In2O3的对照组,从AFM图中可以清晰地看出明显的高度起伏变化(图1f),对应于金属In纳米颗粒,因此排除金属In负载于In2O3表面,而断定金属铟嵌入于In2O3晶格中。


次表面氧缺陷的结构和分布

次表面氧缺陷电子作用于In₂O₃的活性位点增强光热催化CO₂还原

图2 a)XPS;b)CO2-TPD;c)ESR;d)PAS;e)氧缺陷的分布和结构示意图。


催化剂的O元素有三种组分,分别是晶格氧、氧缺陷周围的氧原子和表面-OH(图2a)。其中氧缺陷的含量基本一致。XPS只能检测到5-10 nm的表面深度。在该深度,In2O3和In-Em In2O3的氧缺陷浓度是一致的。但只有表面1 nm以上的氧缺陷才能够起催化作用。为了探测这一深度的氧缺陷,我们采用了程序升温CO2脱附谱(图2b)。从图中观察到In2O3具有明显的CO2吸附量,而In-Em In2O3的CO2吸附量极少,说明In-Em In2O3的表面氧缺陷极少。联系XPS得到的信息,我们推断In-Em In2O3含有大量的次表面氧缺陷。为了进一步验证这一推断,我们采用盐酸刻蚀催化剂表面的金属In,使部分的次表面氧缺陷暴露出来,此时从TPD中观察到明显的CO2脱附峰。电子自旋共振谱可以检测催化剂未成对电子的数目(图2c)。对比光照和暗态条件,光照条件下其ESR信号更强,因为产生了光生电荷。相比于In2O3,In-Em In2O3表现出更强的ESR信号。为了进一步表征氧缺陷的结构,采用了正电子湮灭技术(图2d)。正电子湮灭谱一般存在三种寿命组分,对应于第一寿命、第二寿命和第三寿命。第一寿命主要是由于晶体体相的正电子湮灭,反映的是体相的氧缺陷特征。两者的第一寿命差别不明显,说明体相氧缺陷相似的结构。而第二寿命归因于更大尺寸的缺陷对正电子捕获。第二寿命具有明显的区别:In-Em In2O3大于In2O3,说明其尺寸更大,主要是因为零价In介导的氧缺陷结构的形成。


光热催化性能

次表面氧缺陷电子作用于In₂O₃的活性位点增强光热催化CO₂还原

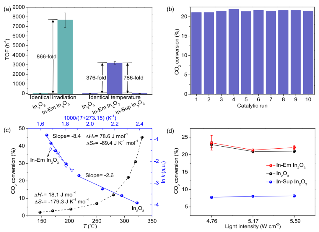
图3 a)TOF活性;b)循环稳定性;c)温度依赖的催化性能;d)三种催化剂的性能对比。


表征CO2光热催化性能的催化反应是逆水煤气反应。衡量表观活性的参数常为转化率和产出速率,而本征活性的计算需要用到转化频率,即单个活性位点单位时间转化的分子数,简称TOF。TOF= CO产出量/活性位点数目。其中活性位点的数目对应于表面氧缺陷的数目。因此我们可得到催化剂的TOF值,如图所示(图3a)。在相同光强下,嵌入型In2O3的TOF是In2O3的866倍;在相同温度下,嵌入型In2O3的TOF是In2O3的376倍。我们做了十次循环实验,发现该催化剂的光热催化性能相当稳定(图3b)。为了验证TOF的提高与嵌入的金属In有关,用到两个公式,一个是阿伦尼乌斯方程,该方程描述了反应速率与反应温度的关系,从而得到表观活化能,表观活化能可以反映催化过程是否有新相形成,反应途径是否变化。以In2O3为催化剂,改变反应温度测试催化性能(图3c)。存在两个表观活化能差别比较明显的区域:低温区和高温区。在高温区,部分In2O3会被还原成金属In,其表观活化能与嵌入型In2O3一致,说明金属In改变了反应途径。另一个方程是艾林方程,通过该方程可以计算过渡态的热力学常数,比如焓变和熵变。H/TS远远小于1,说明该催化过程是负熵控制的过程。高温得到的熵变大于低温的熵变,说明金属In促进过渡态向产物的转化。有一个问题:金属In是否起到助催化剂的作用。为此,我们制备了金属In负载型的催化剂。在300摄氏度的反应温度下,改变光照条件测试In2O3、嵌入型In2O3(In-Em In2O3)和负载型In2O3(In-Sup In2O3)的催化性能(图3d)。对比可以看出三点:第一,随着光强的变化,三种催化剂的性能保持不变,说明轻微的光催化效应和电荷转移效应。第二,单纯负载金属In并未明显提高性能,说明金属In并不能分离光生电荷;第三,单纯负载金属In反而降低性能,暗示金属In并不能促进CO2/COOH的C-O键断裂


光热催化机理探索

次表面氧缺陷电子作用于In₂O₃的活性位点增强光热催化CO₂还原

图4 a)变温ESR;b)电子转移示意图及其驱动力;c)XAFS;d)DOS;e)In2O3和f)In-In2O3的电荷分布。


前面我们通过一系列表征证明了嵌入型催化剂含有丰富的次表面氧缺陷。In2O3的氧缺陷一般有两个电子,与周围的原子呈现电荷平衡状态。嵌入型In2O3的氧缺陷周围有零价铟,局部电荷看似呈现不平衡的状态。此时,需要有其他方式来弥补局部的电荷不平衡。一种方式是配位的氧原子弥补,另一种是离域的电荷来弥补。因为高度还原后是更加缺氧,因此第一种方式可以排除。那么我们推测离域的电荷弥补局部的电荷不平衡。下面我们揭示电子在界面的动力学行为。图4a是变温ESR,反映未成对电子数随温度的变化。虚线框表示暗态条件下的未成对电子数,嵌入型In2O3中平衡态电子浓度高于In2O3;随着光照,它们之间的差别进一步增大,意味着产生更多非平衡态电子随后电子注入金属In。随着温度变化,衰减程度不同,说明电子传导方式不一样。嵌入型In2O3电子传导速率更快,因为电子沿着金属In传导。由此可见,电子在界面的传导主要分为横向的电子注入和纵向的电子离域。横向的驱动力来源于界面极化力,纵向的驱动力来源于体相和表面的化学势差(图4b)。金属In对电子有离域作用。从归一化的XAFS图(图4c)可看出嵌入型In2O3具有更低的电子跃迁速率,因为电子离域降低电子的能量。另外,DOS计算表明In-Em In2O3缺陷态的电子数高于In2O3(图4d);嵌入型In2O3的轨道以高度分散的s-p轨道为主,这些轨道促进次表面氧缺陷的电子离域(图4d)。计算In2O3和嵌入型In2O3的电荷分布,表明In2O3的电荷局域化而嵌入型In2O3的电荷在界面处离域(图4e)。


次表面氧缺陷电子作用于In₂O₃的活性位点增强光热催化CO₂还原

图5 a)CO2吸附FT-IR;b)CO2吸附密度;c)吸附能;d)C-O键长变化;e)该类型的氧缺陷的优势。


这些富电子的活性位点增强了CO2吸附和活化。从红外光谱可以看出吸附CO2的波数红移(图5a),表明C=O活化程度更高。另外,我们还测定单个活性位点对CO2的吸附密度,可以发现In-Em In2O3具有极高CO2吸附态密度(图5b)。DFT计算表明In-In2O3界面增强了CO2和中间物种的吸附(图5c),从而延长它们在活性位点的寿命,增加其稳态浓度。键长的变化也可以看出金属In和In2O3界面对吸附CO2的活化(图5d)。In-In2O3只需要一步对CO2的剧烈活化,就可以达到所需的活化程度,而In2O3需要多步的能量转化。



作者介绍

魏伟钦,华中师范大学博士生,主要研究光热催化和电催化有机反应。


欧阳述昕,华中师范大学教授、博士生导师。南京大学材料学博士,日本国立物质材料研究所博士后。入选天津市海外高层次引进人才、湖北省“楚天学子”。长期从事新型光催化、光热催化、电催化材料的开发及其反应机理研究。以第一作者/通讯作者发表SCI学术论文50余篇,包括Adv. Mater.、Adv. Energy Mater.、J. Am. Chem. Soc.、Angew. Chem. Int. Ed.、Nat. Commun.等国际顶级杂志,获SCI他引3200余次,H因子29。

发表评论
留言与评论(共有 0 条评论) “”
   
验证码:

相关文章

推荐文章