金属表面热反应速率的量子效应

金属表面热反应速率的量子效应


文章出处:Dmitriy Borodin, Nils Hertl, G. Barratt Park, Michael Schwarzer, Jan Fingerhut, Yingqi Wang, Junxiang Zuo, Florian Nitz, Georgios Skoulatakis, Alexander Kandratsenka, Daniel J. Auerbach, Dirk Schwarzer, Hua Guo, Theofanis N. Kitsopoulos, Alec M. Wodtke. Quantum effects in thermal reaction rates at metal surfaces. Science 2022, 377, 394-398.

摘要:在发展预测发生在金属表面的化学反应速率的精确理论方面有广泛的兴趣,特别是在工业催化方面的应用。传统的方法包含许多缺乏实验验证的近似。在实践中,很少有反应有足够准确的实验数据存在,甚至允许与理论进行有意义的比较。在这里,作者提出了实验推导的氢原子在Pt单晶表面复合的热速率常数,这是足够准确的,以测试建立的理论近似。同时,还提出了一个量子速率模型,使直接评价常用的吸附熵近似的准确性成为可能。作者发现,忽略吸附氢原子的波动性质和它们的电子自旋简并,会导致多相催化温度的速率常数高估10-1000。这些量子效应对纳米颗粒催化剂也很重要。

人们花费了大量精力来发展热反应速率的预测理论,目标之一是建立多相催化的精确动力学模型,而多相催化是现代社会工业的基石。模拟真实的催化反应器存在技术上的问题,因为它们通常涉及到反应网络,使有意义的比较与验证理论假设的实验变得复杂。一个可能的解决方案是使用简化模型系统来比较实验和理论,只涉及单一的基本反应。不幸的是,即使这样的比较也很少实现,因为在表面化学中,基本反应速率的精确测量是很少见的。

说明这些问题的是H原子在过渡金属上的热复合,导致H2的形成。它可能是理论建模中最简单的反应,也是工业催化中普遍存在的基本步骤[例如不饱和脂肪的氢化、氨合成和电化学制氢],它是表面化学中精确速率理论发展的一个明显起点。不幸的是,由于难以获得精确的初始浓度,实验推导的二阶速率常数存在很大的不确定性。如果这些和其它实验问题能够被克服,这个反应将为基准速率理论,特别是测试量子效应的近似处理提供一个理想的系统。

从气相反应的研究来看,核量子效应的精确处理在500 K以上通常被认为是不必要的,而且,由于大多数催化反应器在升高的温度下运行,人们可能会得出结论,经典近似或近似的特别量子处理,如谐波过渡态理论(hTST),将足以模拟表面化学。但是最近已经指出了超越hTST的必要性,新的方法也被报道了,尽管它们也缺乏实验的验证。电子自旋是表面反应中另一个重要的量子效应;例如,在H原子重组中,只有四分之一的电子自旋组合产生稳定的H2分子。然而,据作者所知,反应物和生成物的自旋简并度从未被包括在金属表面反应速率的计算中。

本文报道了利用速度分辨动力学(VRK)得到的Pt(111)和Pt(332)表面上H原子重组的动力学数据,该动力学数据以前只用于研究模型催化剂上的一级反应和伪一级反应。在这项工作中,作者通过测量反应物的绝对通量,将VRK扩展到二阶反应速率常数的测量,当与已知的粘附概率结合时,可以提供准确的初始浓度[H]0,并消除了以前工作中发现的主要误差来源。

为了更深入地理解动力学,作者还构建了一个量子速率模型(QRM),在没有可调参数的情况下,准确地再现了250-1000 K温度下12个数量级的实验速率常数。与相应的经典速率模型(CRM)的比较揭示了量子效应是多么大和至关重要;在1000 K下,经典反应速率常数比量子反应速率常数大20倍,在较低温度下,反应速率与经典反应速率常数的偏差越来越大。对于阶梯表面的反应,误差甚至更高。反应速率的这种戏剧性的量子降低是由于H*核吸附的离域以及电子自旋简并的影响。

简单地说,用H2和D2的可控混合的脉冲分子束分别照射Pt(111)和Pt(332)晶体面,阶跃密度分别为0.1-0.6%和16.7%。然后使用VRK记录HD形成的瞬态速率,其中脉冲激光电离,飞行时间质谱报告了产品的质量电荷比(m/Z)及其密度作为脉冲分子和激光束之间的延迟函数。由于离子是用产生产物速度的切片成像检测的,作者可以准确地计算瞬态产物通量作为反应时间在表面的函数。需要初始反应物浓度才能得到二阶速率常数。这些值是由入射分子束的绝对通量分布和已知的粘着系数得到的。最后,根据m/Z = 2、3、4处的VRK数据,得到了同位素分支分数,得到了同位素比速率常数。

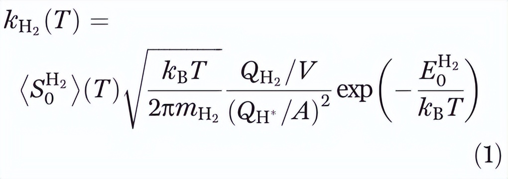
在这项工作中提出的质量概率是一个热速率常数的精确公式。只要有精确的同位素比热吸附概率<S0H2,HD,D2> (T),吸附能E0H2,HD,D2,反应物QH*,D*和产物QH2,HD,D2配分函数,就能得到精确的同位素比热速率:

金属表面热反应速率的量子效应

公式1

式中,T为温度,kB为玻尔兹曼常数,V为参考体积,A为配分函数计算的参考面积。

由公式1给出两个吸附H原子重新结合解吸H2的QRM速率常数kH2(T)。kHD(T)和kD2(T)的表达式通过类比很容易得到。E0H2,HD,D2和<S0H2,HD,D2>(T)的精确值可以从之前的实验中得到。这些测量使作者能够避免与热解离吸附率的理论测定和吸附能的密度泛函理论(DFT)计算相关的误差,这些误差可以高度依赖于交换相关泛函的选择。此外,气相QH2中氢分子的配分函数是已知的。

吸附质配分函数QH*,D*是QRM的关键输入,采用量子势能采样(QPES)方法计算,其中配分函数的核部分通过直接态数得到。用两种不同的泛函计算DFT相互作用势,并假设一个静态Pt表面,通过求解核Schrödinger方程得到了态和能量。本实验对H与Pt(111)和Pt(332)相互作用进行了研究。作者发现QH*弱依赖于DFT泛函的选择。电子对QH*的贡献,即H-Pt体系的双重自旋简并,被明确地包括在内。

金属表面热反应速率的量子效应

图1

图1给出了实验得到的在Pt(111)和Pt(332)上反应的HD生成速率,并将它们与模拟实验进行了比较。模拟使用了来自QRM的三种同位素测井的速率常数,并考虑了加样脉冲的时间分布及其空间不均匀性,f(t,r) (图2A),其中t为时间,r为径向距离,以及反应物扩散。这方面的数据分析超越了过去的工作,是必不可少的,因为二级反应的速率对表面浓度分布和梯度很敏感。完全扩散反应模型是描述和解释众所周知的扩散影响表面反应速率在以前的工作中讨论。图2B表明,这些温度下的同位素效应很小,QRM可以很好地描述。检查图1和2B可以清楚地看到,QRM没有可调参数,重现了Pt(111)和Pt(332)上反应的实验数据。

金属表面热反应速率的量子效应

图2

图3显示了VRK导出的在Pt(111)上反应的H*复合速率常数(黑色圆圈)与先前研究的H*复合速率常数(浅红色梯形)的比较。以往的研究对小于400 K的温度采用程序升温解吸(TPD),对大于400 K的温度采用分子束弛豫光谱(MBRS)。先前报道的速率常数的不确定性跨越三个数量级。作者注意到,以前的工作研究了不同的同位素复合反应;然而,考虑到本研究中发现的小同位素效应(图2B),这些实验之间的差异不能解释报道的大范围数值。VRK测量清楚地区分了之前两次MBRS测量的精度,它们都在不确定范围内,但与报道的速率常数相差两个数量级。

一个基本正确的模型的一个标志是它能够在广泛的温度范围内重现准确的实验数据。QRM采用了从一开始就完全正确的吸附配分函数,在较大的温度范围内与实验结果非常吻合。与VRK导出的速率常数相比,QRM在650-950 K之间的Pt(111)的性能得到了证明,而低温的比较依赖于TPD。在TPD导出的速率常数的不确定性是由于使用可疑的近似从数据导出常数,忽略了覆盖的依赖性吸附能,可疑的预因子估计,忽视步骤的影响。为了做出最有意义的比较,作者使用QRM直接模拟TPD光谱,其中步骤的影响被仔细识别和消除。在这里,作者也解释了先前报道的吸附能的覆盖率依赖。对比显示在图3A右上方的插图中。QRM的实黑线与三个初始覆盖区域的TPD光谱[宽灰色线]非常一致。

上述与动力学实验在250-950 K之间进行的比较表明,QRM速率常数的有效性超过12个数量级,并适用于0.3单层(ML)的H原子覆盖。在QRM中实施的详细平衡原则的背景下,这张连贯的图片展示了先前报道的粘附系数和结合能与这项工作的动力学测量的定量一致性。在如此大的速率范围内的一致提供了QRM速率常数的可信度,使得在Pt(111)上的H重组成为表面化学中近似速率理论的可靠基准。

值得注意的是,本工作所实现的QRM是半经验的,因为它依赖于热粘附系数和吸附能的实验值。然而,如果这些量可以从第一性原理精确地计算出来,它也为热反应速率的从头算理论提供了一条途径。

QRM的框架允许作者基于多相催化动力学建模中常用的近似方法来严格测试预测的质量。分析结果如图3所示。最广泛使用的速率常数模型(hTST)以一种近似的方式引入量子效应,其中核配分函数的计算假设贡献自由度的可分离运动,每个自由度可以近似为一个谐振子。根据定义,hTST中不包括重交修正。hTST速率常数,通过放置分隔面远高于表面计算,如图3中绿色虚线所示。在200-1200 K的所有温度下,这种近似将实验反应速率常数高估了2-3个数量级。hTST误差的主要来源是对H-Pt相互作用势的谐波简化(导致误差为5到25倍)和忽略对TST的重复修正(误差为5到10倍)。

接下来,更复杂的速率理论使用完全势能采样(CPES)方法来表征与H*面内自由度相关的熵。许多人认为CPES提供了最精确的吸附配分函数,并已用于表征H在金属上的相互作用。它利用DFT得到的吸附质势能面计算的半经典配分函数来解释调和性。为了评估这一方法,作者修改了QRM,用CPES吸附配分函数取代QPES,但保留了公式1中的其它参数。这种替代有助于说明质量风险管理的经典对应形式,作者下文将其称为客户关系管理。CRM预测的速率常数如图3中蓝色虚线所示。CRM的性能优于hTST,但即使在高达1000 K的温度下,也始终将速率常数高估了20倍。在300 K (电化学应用的典型温度)时,误差超过100倍。虽然作者的详细分析集中在Pt(111)上,但hTST和CRM引入的错误在Pt(332)上的反应是相似的。

CPES方法的一个主要误差来源来自吸附体平面内运动的经典描述。这可以通过考虑Pt(111) (58 meV)上H*的平面内零点能量几乎等于经典扩散势垒(60 meV)来理解。因此,表面H*运动的经典和量子描述导致了非常不同的结果。CPES将H*排除在空间的经典禁忌区域之外,而在量子力学上,有很大的概率填充这些区域。此外,CPES不考虑不确定原理,这阻止了H*在低温经典能量最小时的局域化。CPES低估了H原子探测到的表面积,因而也低估了吸附质熵。这导致了对相应速率常数的高估。作者的结果强调了量子离域的重要性,并有助于解释为什么CRM的偏差在低温下变得更严重。量子离域也是hTST失败的原因。所有高于基态的量子态在远离势能最小的位置都表现出概率最大值。

作者可以利用QPES配分函数而忽略电子自旋来研究CRM中的其它误差来源。图3A显示了在此基础上预测的速率常数,在图3B中,作者可以看到忽略电子自旋简并导致对所有温度下速率常数的高估4倍。如果作者考虑到当两个H*原子试图反应时,它们必须以平行(三重)或反平行(单线)自旋的四种简并态中的一种靠近对方,这个结果就可以直观地理解。只有单重态与气相单重态H2产物的形成有关;因此,包括自旋简并能使反应速率降低4倍。这一结果对于那些熟悉通常包括自旋简并的气相反应速率计算的人来说不应该感到惊讶。尽管如此,据作者所知,这是第一次证明金属表面的热反应速率依赖于吸附质自旋。

金属表面热反应速率的量子效应

图3

在这项工作中发展的QRM也描述了在阶梯表面上的反应速率。在图4A中,作者比较了Pt(111)和Pt(332)表面的QRM预测的速率常数与VRK实验导出的速率常数。在Pt(332)上反应的QRM处理的细节。实验表明,在700 K附近,(332)面反应速率常数比(111)面反应速率常数大,QRM定量捕捉到了这一效应。这一结果可能显得令人惊讶,因为H原子的结合能在阶梯处比阶地处大。对公式1的一个看法表明,这导致一个较低的速率常数。然而,对QPES配分函数中使用的热填充量子态的仔细分析表明,在这些温度下,(332)面上的H原子倾向于停留在阶梯附近。这一事实降低了它们在平面内的平动熵,并导致速率常数的增加,因为熵的影响比更大的阶跃结合能产生的影响更大。

这一观测结果反映了温度的变化改变了能量和熵对速率常数的相对影响。在过去的研究中,H2在Pt(111)上的脱附和B型阶梯状Pt表面在T ~ 350 K时的TPD光谱相似,被认为是缺乏优先阶梯结合的证据。对图4A中QRM速率常数的检验表明,在350 K时,脱附速率常数的相似性源于能量和熵贡献之间的补偿。作者的工作支持了从He原子和离子散射实验中得出的结论,即H与B型阶梯结合得更强。只有在较低的温度下,阶梯上对H结合的能量偏好才会导致阶梯表面的速率常数低于(111)阶地。

由于本工作中开发的QRM方法提供了阶梯表面速率常数的精确测定,作者期望QPES熵用于QRM将有助于作者理解在尺寸选择的Pt纳米颗粒上进行的实验,因为更小的纳米颗粒表现出更高的阶梯浓度。图4B显示了不同尺寸的Pt纳米颗粒的H*熵随纳米颗粒尺寸的增加而增加,这与前面的观观测结果一致,Pt阶梯降低了H*熵。还显示了在文献中报道的CPES熵,它未能描述从实验中得到的熵。值得注意的是,使用QPES方法发现H*与Pt(111)结合的熵(见图4B)与最大粒径的熵很好地一致。请注意,大型纳米颗粒的表面主要由(111)面组成。图4B还显示了H*在(332)面上的QPES熵,这与实验获得的纳米小颗粒上的熵吻合较好。这一比较进一步支持了作者的假设,即H*熵随着纳米颗粒尺寸的减小和阶梯缺陷的相对重要性的增加而减小。这一结果指出了量子效应的重要性,甚至对于高级催化材料热力学态函数的描述也是如此。

金属表面热反应速率的量子效应

图4

正如这项工作所表明的那样,即使在与催化相关的温度升高时,Pt表面上的H*复合也表现出很大的量子效应。这些在反应速率和吸附H原子的热力学性质中的量子效应部分来自于H原子的轻质量,需要对其波动性质进行仔细的处理以获得准确的结果。这种核量子效应对较重的吸附物的重要性将降低。然而,这里所证明的自旋简并效应对于涉及实际催化的较重物质的一系列反应仍然具有普遍的重要性。目前,用DFT确定金属表面的最低能自旋态还不容易。发展能够探测自旋对反应速率的一般影响的理论和实验方法,是完全预测金属催化剂表面化学的下一个挑战。

发表评论
留言与评论(共有 0 条评论) “”
   
验证码:

相关文章

推荐文章