吴玉新副教授:毫米级颗粒在湍流场中的传热及着火特性

【能源人都在看,点击右上角加'关注'】

吴玉新副教授:毫米级颗粒在湍流场中的传热及着火特性吴玉新副教授:毫米级颗粒在湍流场中的传热及着火特性

创新点

通过四风扇对冲的电热实验装置,构建了各向同性湍流流场,可通过改变风扇转速及热功率调节湍流强度及环境温度。基于该实验装置研究了湍流强度对毫米级颗粒传热特性的影响,提出了考虑湍流雷诺数修正的颗粒传热关联式,据此进一步研究了煤颗粒在湍流流场下的传热强化过程,揭示了湍流混合对于毫米级燃料颗粒升温速率及着火的强化作用。

毫米级颗粒在湍流场中的传热及着火特性

作者:吴玉新1,郭慧娜1,冯乐乐2,胡振坤3, 张守玉3

单位:1. 清华大学 热科学与动力工程教育部重点实验室;2. 中国矿业大学 安全工程学院;3. 上海理工大学 能源与动力工程学院

研究背景

固体燃料在热气流中的着火是其燃烧中的重要过程,该过程中,燃料颗粒的着火受多种因素影响,包括煤种、颗粒尺寸、加热方式等,除此之外,颗粒所在的气流环境(自然对流或强迫对流)对其着火过程也具有重要影响。LIU等在竖管炉内,研究了不同的对流强度对粒径约1.5mm的大同烟煤温升历程、着火延迟时间和着火机理的影响,发现气相速度增大, 升温速率明显增加, 着火提前。KHATAMI等在落管炉内,研究了在自然对流和强迫对流情况下不同煤阶的煤粉着火机理,发现相对于自然对流,强迫对流使煤颗粒的升温速率变慢、着火延迟时间延长。虽然在不同的试验台上得出了相反的试验结果,但该结果进一步表明,燃料颗粒在热气流中升温至着火点的过程在颗粒整个燃烧历程中占据了很大一部分,准确预测颗粒受热及温升过程,对研究燃料颗粒着火特性和着火稳定性、燃烧工况优化具有重要意义。

随着双碳目标的提出,利用生物质与煤耦合发电成为燃煤电厂大规模减少CO2的最可行措施,由于生物质破碎困难,目前生物质颗粒粒径一般为毫米级,其燃烧过程与微米级颗粒有较大区别。而流化床燃煤锅炉中的燃料受热及燃烧过程中,也是毫米级煤颗粒在强湍流密相床中发生受热与着火。

以往研究一般通过试验和数值模拟研究毫米级大颗粒燃料的燃烧过程,试验设备为热重分析仪、落管炉、平面火焰法和单颗粒反应器等,只能提供低雷诺数下的升温和着火环境,即关注层流条件或低脉动流场中大粒径燃料颗粒的燃烧特性。随着对高效、环保燃烧技术的重视,具有高速射流特征的低氧稀释燃烧技术日益得到重视,被认为是新一代高效洁净的燃烧技术。该技术中,实际炉膛内部是一个具有强湍动度、火焰拉伸率的环境,燃料颗粒如煤、生物质等在其中受热及燃烧。强湍流脉动的流场特征对固体燃料颗粒的传热、着火及燃烧均具有重要影响。在气体燃料燃烧研究中发现,流场的湍流脉动会使火焰面变得褶皱,从而增大火焰面积,在一定范围内增大湍流燃烧速度。在固体燃料的燃烧中,湍流脉动通过破坏固体颗粒的热边界层对颗粒边界的气相传热传质起强化作用。

考虑粒径效应时,由于大粒径颗粒的弛豫时间较长,对湍流涡中的大尺度含能涡团具有较强的响应,由于微米级小粒径颗粒的弛豫时间与湍流涡中Kolmogorov时间接近,具有较好的弥散性和倾向跟随性。因此湍流对大颗粒燃料传热的作用更显著,需要研究湍流对大颗粒燃料着火过程的影响。但目前相关试验研究仍非常有限,湍流强化气体和液体传热传质试验中,典型的试验方法有射流火焰法、对冲火焰法、对冲风扇法 。射流火焰法通过提高来流速度以增加脉动速度,这意味着较大的脉动速度需要较高的时均速度,难以区分强迫对流与湍流脉动的影响。对冲火焰法通过在中间平均速度接近0的滞止面上研究湍流脉动对气体传质的影响,但同样需要较高的来流速度以达到所需的脉动速度。对冲风扇法是通过设计风扇对冲流动在空间中心形成平均速度接近0 的均匀各向同性湍流区域,在此区域内研究湍流脉动对液体燃料液滴蒸发、气体火焰传播等的影响。BIROUK等对称布置8个风扇,通过在立方体的8个角放置8个风扇构建可控的湍流流场,并进行各向同性湍流测量验证,并开展了湍流强度、液滴粒径、温度压力等对液滴蒸发的系统研究,该方法的优势是脉动速度大小可直接由风扇转速调控,操作简单高效。

摘 要

燃料在强湍流中的燃烧广泛存在于实际工业装置中,研究湍流脉动对燃料传热及着火的作用对准确理解燃烧过程具有重要意义。目前,对于气体燃料和液滴在湍流脉动条件下的蒸发着火等过程已经有了非常详细的研究,而对于固体颗粒受热和着火的研究,大多数试验方法,如落管炉、单颗粒炉和平焰燃烧器等,是在层流条件下进行的。

湍流条件下的研究方法主要包括高速射流、一维炉和旋流燃烧器,但普遍存在着光学可视性较差以及湍流强度难以调控等问题。为此,通过搭建能够在高温下运行的四风扇对冲实验装置,建立起湍流强度可调的近均匀各向同性湍流场,研究了湍流脉动对毫米级单颗粒升温及着火的作用。

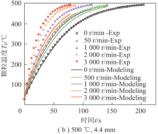
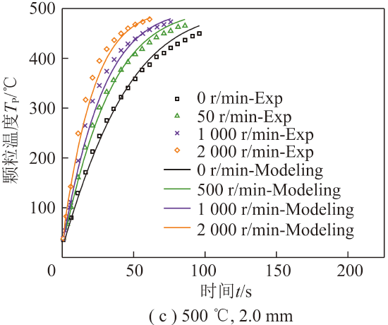
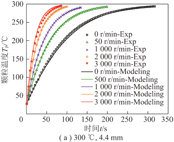
通过在不同风扇转速及环境温度下测量流场的瞬态速度分布以及颗粒温升曲线,获得了不同环境温度及湍流强度下颗粒的传热特性。基于粒径为4.4 mm的铜球传热试验结果提出了考虑湍流脉动作用的颗粒传热模型,并利用粒径为2.0 mm的铜球升温试验数据进行模型验证。

研究结果表明,所建立试验台测量区域流场的脉动速度具有各向同性特征,且远大于时均速度,脉动速度大小随着风扇转速线性增加。脉动速度的增大使得煤颗粒着火提前、铜球颗粒升温速率加快,说明湍流对颗粒传热的强化作用不可忽略。

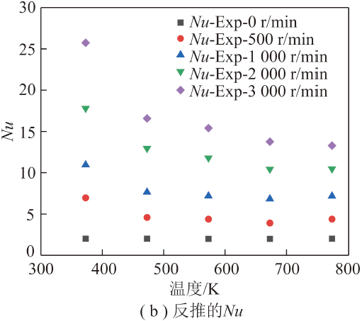
通用的Ranz-Marshall公式会明显低估强湍条件下颗粒的升温历程,进而造成计算的颗粒着火延迟时间偏大。通过在Ranz-Marshall公式中引入附加的湍流作用项,并根据强湍流场中的试验结果拟合其中的系数,可以准确地表征湍流对大颗粒传热的强化作用。

部分图片

吴玉新副教授:毫米级颗粒在湍流场中的传热及着火特性

均匀各向同性湍流试验台示意

吴玉新副教授:毫米级颗粒在湍流场中的传热及着火特性

不同转速下流场的平均速度与脉动速度分布

吴玉新副教授:毫米级颗粒在湍流场中的传热及着火特性

流场的均匀性指数与各向同性率分布云图(2000r/min)

吴玉新副教授:毫米级颗粒在湍流场中的传热及着火特性

不同转速下瞬时速度的概率密度函数

吴玉新副教授:毫米级颗粒在湍流场中的传热及着火特性

不同温度、不同风扇转速下4.4mm铜球的升温结果

吴玉新副教授:毫米级颗粒在湍流场中的传热及着火特性吴玉新副教授:毫米级颗粒在湍流场中的传热及着火特性吴玉新副教授:毫米级颗粒在湍流场中的传热及着火特性

不考虑气体脉动时预测的铜球升温结果

吴玉新副教授:毫米级颗粒在湍流场中的传热及着火特性吴玉新副教授:毫米级颗粒在湍流场中的传热及着火特性

Nu的计算值与根据试验结果反推值对比

吴玉新副教授:毫米级颗粒在湍流场中的传热及着火特性吴玉新副教授:毫米级颗粒在湍流场中的传热及着火特性吴玉新副教授:毫米级颗粒在湍流场中的传热及着火特性

考虑气体脉动时预测的铜球升温结果

吴玉新副教授:毫米级颗粒在湍流场中的传热及着火特性

不同转速、不同时刻的煤颗粒照片

作者简介

吴玉新副教授:毫米级颗粒在湍流场中的传热及着火特性

吴玉新,清华大学能源与动力工程系副教授,博士生导师。主要研究领域为化石燃料的清洁燃烧技术、湍流多相反应流的高保真数值方法以及低碳节能应用。近年发表论文150余篇,其中SCI论文70余篇、EI论文100余篇,引用1200余次,1篇入选ESI高引用论文,1篇入选ESI热点论文,1篇入选《化工学报》高引论文。授权专利20余项,出版专著1部。任职以来主持承担各类科技项目30余项,包括国家自然基金国际合作重点项目、青年项目、两机专项(专题)、国家重点研发计划(子课题)、国家科技支撑计划(子课题)、国家863项目子课题以及与国内外各大企事业单位的合作项目。其中高盐水回用油田注汽锅炉技术、高精度水冷热流计等技术获得企业应用推广。科技成果获得省部级一等奖2项、二等奖1项,行业一等奖5项,国家发明展览会金奖以及日内瓦国际发明展金奖各1项。

来源:

吴玉新,郭慧娜,冯乐乐,等. 毫米级颗粒在湍流场中的传热及着火特性[J]. 煤炭学报,2022,47(1):489-498.

免责声明:以上内容转载自煤炭学报,所发内容不代表本平台立场。

全国能源信息平台联系电话:010-65367702,邮箱:hz@people-energy.com.cn,地址:北京市朝阳区金台西路2号人民日报社

发表评论
留言与评论(共有 0 条评论) “”
   
验证码:

相关文章

推荐文章