有机化学天天练 阿尔格-弗林-大山田反应

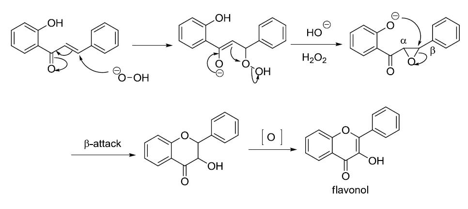
Algar–Flynn–Oyamada反应,缩写AFO反应。2'-羟基查尔酮在碱性溶液中用过氧化氢处理时,发生氧化环化作用得到黄酮醇(2-芳基-3-羟基-4H-1-苯并吡喃-4-酮)。


有机化学天天练 阿尔格-弗林-大山田反应

Geismann 和 Fukushima (1948)

首先提出,该反应的机理是查尔酮 在过氧化物的作用下,先转化为环氧化物 。首先我们要先确立一个概念,烯羰基的α位碳是带负电,β位的碳是带正电的,由于羰基的吸电子作用,α位的带负电,β的是带正电的。

有机化学天天练 阿尔格-弗林-大山田反应

双氧水在碱性的作用下生生HOO负离子,HOO负离子进攻,羰基的β碳。

有机化学天天练 阿尔格-弗林-大山田反应

OOH不稳定以OH负离子离去。

有机化学天天练 阿尔格-弗林-大山田反应

反应生成了氧正,氧并不是带正电,而是其缺电子,用正号表示,氧此时是路易斯酸 缺电子,为了达到稳定性需要接受路易斯碱,可以给电子的集团,而烯烃的双键碳的电子在处于能量较高的P轨道,电子容易给出属于路易斯碱,所以给出电子使得氧恢复八电子稳定性,生成环氧中间体。

有机化学天天练 阿尔格-弗林-大山田反应

由于是在碱性环境,酚生成酚负离子,对环氧化物进行进攻,主要会进攻β碳形成六元环化物,但也会进攻α碳形成副产物。

有机化学天天练 阿尔格-弗林-大山田反应

酚负离子对 中的酚负离子对羰基 β-位进行进攻,则生成二氢黄酮醇;若酚负离子对羰基 α-位进行进攻,则环化为五元的副产物橙酮

有机化学天天练 阿尔格-弗林-大山田反应

近年来这个机理受到了其他化学家的质疑。Dean 和 Bennett/Burke 等认为虽然副产物橙酮是通过上述途径生成的,但是二氢黄酮醇则是通过其他两种路线生成。

一种是查尔酮的酚负离子 发生分子内的共轭加成,生成烯醇负离子 环,而后 再与过氧化氢作用生成二氢黄酮醇 。

有机化学天天练 阿尔格-弗林-大山田反应


另一种则是 通过一步环化与氧化直接生成二氢黄酮醇。

大家在做这一类反应可以直接把过氧化物异裂,生成缺电子的氧正和富电子的氧负,氧正缺电子自然和碳碳双键进行环氧反应。

有机化学天天练 阿尔格-弗林-大山田反应

发表评论
留言与评论(共有 0 条评论) “”
   
验证码:

相关文章

推荐文章