近日,国际天体物理学杂志The Astrophysical Journal 在线发表了中国科学院云南天文台博士卢开兴、研究员白金明与合作者的研究成果。该研究依托丽江天文观测站2.4米望远镜开展活动星系核(AGN)盘风与环境的关联研究,发现了AGN宽线辐射区(宽线区)起源于大尺度多相盘风的间接证据。
该研究是卢开兴等人依托2.4米望远镜,开展具有超速外流AGN光谱监测研究项目的第一个成果。项目选取具有亚相对论性超速外流(UFO)的AGN为研究对象,以研究AGN盘风与宽线区的关联为视角,探索宽线区的起源和演化。
研究团队利用2.4米望远镜(图1左),在第一个观测周期内(2017年11月至2018年3月),获得了第一个候选体 Mrk 79 (其UFO 的速度是0.1倍光速)的72次分光观测和62次成像观测(累积观测25小时)。经细致地数据分析,包括数据预处理、光谱流量与谱形定标和光谱多成分分解 (图1中),该研究测得多个成分的时间序列(图1右),并估计了Mrk 79的黑洞质量和吸积率。
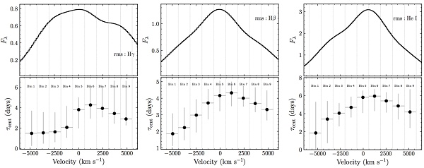
受益于高质量光谱观测以及高精度流量和谱形定标,该研究应用速度分解反响映射,首次同时测得Mrk 79多个宽线的速度场信息(图2),并发现Mrk 79宽线区的高电离和低电离气体都存在外流迹象。结合Mrk 79的基本性质(低吸积率和最低光度态)和电磁波段观测到的丰富的物理现象(包括亚相对论性超速外流、温吸收体和宽线区高低电离气体外流),该研究讨论了大尺度多相盘风与宽线区的联系,并充分阐述了Mrk 79宽线区源于盘风的可能性。
待成熟发展的宽线区物理在精确测量星系中心超大质量黑洞的质量以及在AGN宇宙学研究领域具有重要地位。近十年来,为了构建清晰的宽线区图像,很多AGN领域的天文学家持续关注着宽线区的结构和变化。该团队依托丽江2.4米望远镜开展AGN盘风与宽线区的关联研究,正在以一种全新的视角研究宽线区起源和演化。
该研究得到国家自然科学基金、中科院西部青年学者和中科院天体结构与演化重点实验室的资助。

图1.丽江天文观测站2.4米望远镜(外景和内景, 左), 观测于2.4米望远镜的Mrk 79光谱和多成分分解(中)及主要成分的时间序列(右)

图2. Mrk 79宽线速度场(速度-延迟谱)
来源:中国科学院云南天文台

| 留言与评论(共有 0 条评论) |