
本文参加百家号 #科学了不起# 系列征文赛。
“如果我们能够把一根竹筷加速到光速,那能不能击穿厚度为1厘米的均质钢板?”这样的假设非常常见。那真的有可能吗?
实际上,这件事是不太可能的,至于为什么不可能,我们今天就来聊一聊这个问题。
相对论
我们人类所处的环境其实是宏观低速的环境,在这个环境中,牛顿力学是精准的,可以非常好地描述这个尺度下的物体运动规律。可是到了19世纪末,20世纪初,科学家就发现一个问题,那就是牛顿力学开始变得不够准了。

这当中的本质其实是尺度发生了变化,在那段时间,科学家可以尝试去观测到纳米级(10^-9米)以下尺度的物理学规律,同时也可以观测到引力特别大或者速度接近于光速的物理学现象。也就是说,由于人类的视野不再局限于宏观低速,视野变得开阔,可以看到更多的物理学现象,这时就发现牛顿理论出现了令人无法接受的误差。
在小尺度之下,也就是亚原子级的微观世界里,科学家提出了量子力学来描述,它在这尺度下比牛顿力学要精准得多。

而在引力大或者接近于光速的高速状态下,爱因斯坦提出了相对论来描述,这个理论在描述这些现象时都无比的精确。

更令科学家乐于见到的是这两个理论都兼容了牛顿力学,牛顿力学是这两个理论在宏观低速下的近似解。
筷子真的可以到达光速吗?
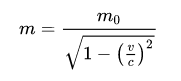
而如果我们要把一根筷子加速到光速,这时候就不是用牛顿力学来描述了,更具体的说我们不能被宏观低速的情况蒙蔽了眼睛。而根据相对论,筷子在被加速的过程中,筷子的质量是会发生改变的,我们可以用下面的方程来描述。

看不懂这个方程其实没有关系,你只要知道,随着速度的增加,物体的质量会增加。也就是说,一根筷子原本可能只有10克。
如果当它达到0.99倍光速时,它的质量就大概会变为71克,是原来的7.1倍;
如果当它达到0.999倍光速时,它的质量大概会变成224克,是原来的22.4倍;
如果当它达到0.9999倍光速时,它的质量大概会变成707克,是原来的70.7倍;
所以,你发现没有,越是接近光速,质量就会变得越来越大。而我们给它加速的能量实际上也就需要越来越多,我们可以用下面公式来描述。

同样,看不懂也没有关系。你只要知道,如果我们想把一根筷子加速到光速,这就意味着我们需要动用无穷大的能量,也就是说,全宇宙的能量都让我们用来加速这根筷子,都没办法把它加速到光速。当然,我们是不可能能够动用如此巨大的能量,因此,我们根本不无法把筷子加速到光速。
因此,根据相对论,我们可以知道物质、信息、能量的传递速度是不可能超过光速的。

假设筷子真的到达光速
虽然现实做不到,但我们不妨筷子真的到达光速,在不考虑现在物理学理论失效的情况下,那会筷子会击穿钢板吗?

答案是,不仅可以击穿钢板,它可以摧毁整个太阳系。那为什么会是这样的呢?
这其实还是要回到相对论上,根据相对论,当筷子达到光速时,实际上筷子所具有的质量是无限大的,这就是说它的动能是无限大。这就意味着,无论它撞到了谁,可以把对方直接摧毁,更不要说只是一块钢板了,所以当它一头撞上某个物体时,就可以仅仅依靠“撞”就摧毁对方。

在著名的科幻小说《三体》中,有个宇宙的清洁工:歌者文明。在他们的武器库中就有一个叫做质量点的。在小说中也有描述这个质量点就是极端接近光速的小体积物体,可以借助相对论效应的质量膨胀来摧毁恒星。这里其实就是基于爱因斯坦的相对论来描写的。而加速到光速的筷子是比小说中“质量点”更强的武器。
所以,加速到光速筷子不仅仅是可以击穿钢板这么简单了,它可以摧毁大型天体。但根据相对论,实际上光速筷子是不可能制造出来的。
| 留言与评论(共有 0 条评论) |