高压极端条件可以创造常压难以形成的新结构,赋予材料新的功能特性,为实现和拓展满足特殊需求的材料构效提供独特机遇。
中国科学院物理研究所/北京凝聚态物理国家研究中心极端条件物理重点实验室靳常青团队长期开展高压极端条件新材料制备及功能研究,设计研发了具有自主知识产权的先进的高压、低温、强场和激光在位加热联合实验装置,可进行超高压高温合成和在位物性表征。运用以上极端条件技术,他们相继揭示了系列高压诱发的极端条件材料构效,包括关联体系、拓扑、聚合物等新兴功能材料体系 (PNAS 105, 7115(2008);JACS 132, 4876(2010);PNAS 108, 24(2011); PNAS 110, 17263(2013); Nature Commun. 5, 3731(2014); Adv. Mater. 29, 1700715(2017); Angew. Chem. Int. Ed. 56, 1(2017); Nature NPG Asia Mater. 11, 60(2019))
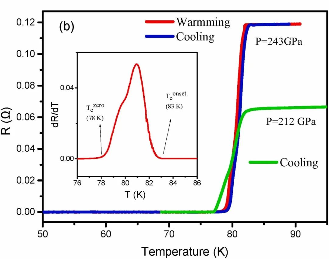
高压富氢化合物的理论预测和实验发现引发了对新型富氢化合物材料和超导的研究,目前实验报道的富氢化合物超导集中在稀土、碱土和主族元素(C、P、S以及Sn等)上,靳常青团队近期相继独立发现Tc 210K以上的钙基富氢超导材料(Nature Communications 13, 2863(2022))、首个4d二元富氢高温超导材料(Science Bulletin 67, 907 (2022))。近期,靳常青研究员指导博士生张昌玲,何鑫等人在IVB过渡元素氢化物的新材料研究取得了新进展。运用先进的超高压金刚石压砧实验技术,在200GPa高压和2000K的高温成功制备高质量的铪基富氢材料,呈现83K高压超导转变(图1)。

图1:铪基富氢化合物在高压呈现83K的超导特性。
外加磁场,超导转变向低温区移动(图2)。

图2:铪基富氢材料超导电学特性和随磁场的变化。
这和超导现象一致。根据Tc随磁场的演化,估算上临界场约为24Tesla,对应金兹堡~朗道相干长度约37Å。他们与APS线站和高科刘浩哲研究员团队合作开展高压结构表征,图3为样品高压衍射图谱,结果显示含有HfH14相组成。这是首次报道的5d过渡金属富氢化物高温超导且温度突破了液氮温区。该项研究进一步拓展了富氢高温超导材料的范畴,为高温超导机理研究提供了新素材。

图3:铪基富氢材料的高压X ray衍射,插图为可能的结构。
相关研究成果发表在期刊 Mater Today Phys 27, 100826(2022)上,靳常青和望贤成为通讯作者,博士研究生张昌玲和何鑫为共同第一作者。研究工作得到了得到基金委、科技部和中科院项目的资助。
文章链接
编辑:小聪
| 留言与评论(共有 0 条评论) “” |