文 | 杨子源 翟立朋 等
摘 要:本文是在新冠肺炎疫情的大背景下,基于智能手机设计了日落时差法、太阳仰角差值法和 GPS 定位法三种方法进行地球半径的测量,本文所提供的实验方法不需要专业的物理实验测量工具并可以居家完成,其中日落时差法和太阳仰角法测量得到的地球半径分别为 6246km 和 6239km,测量的相对误差分别为 2.0% 和 2.1%;GPS 定位法中设计了同经度取点、同纬度取点和任意取点三种取点方法,测量得到的地球半径分别为 6432km、6400km、6343km,测量的相对误差可以达到 1.0%、0.5% 和 0.4%。本文所有方法的误差精度都可以满足基础物理实验课程设计的要求,GPS 定位法的测量精度要明显优于日落时差法和太阳仰角法。同时本文还分析了各方法测量误差最主要的影响因素。
关键词: 智能手机;地球半径;居家实验
Abstract This paper designs three methods of the earth's radius measurement, the sunset time difference method, the sun elevation difference method and GPS positioning method, which is in the context of COVID-19 outbreak and based on the smart phone. These experimental methods provided in this paper don't need professional physics experiment measuring tool and can be completed at home. The earth radius measured by the sunset time difference method and the sun elevation method are 6246km and 6239km with the measuring relative errors 2.0% and 2.1%, respectively. In the GPS positioning method, three point taking methods are designed including the point taking at the same longitude, at the same latitude and any point. The measured earth radius are 6432km, 6400km and 6343km respectively, and the measuring relative error can reach 1.0%, 0.5% and 0.4% respectively. The error accuracy of all methods in this paper can meet the requirements of basic physics experiment course design, and the measurement accuracy of GPS positioning method is obviously better than sunset time difference method and solar elevation method. At the same time, the main influencing factors of measurement error are also analyzed.
地球是一个两极稍扁、赤道略鼓的扁球体,地球半径是物理学、地理学和天文学中的一个重要常数,地球半径的测量有重要意义[1]。从公元前300年左右的埃拉托色尼开始,人类在测量地球半径的道路上经历了漫长的旅程,埃拉托色尼测量地球周长的实验也是十大经典物理实验之一[2]。随着测量技术的不断发展,地球半径的测量精度不断提高,当前公认的地心距离地球南极或北极的距离约为 6356.9088 千米,地心距离地球赤道约为 6377.8300 千米,地心到地球表面所有各点距离的平均值约为 6371.3930 千米。
受新冠肺炎疫情的影响,大部分高校在 2020 年春季学期积极探索了学生居家进行物理实验课程的教学形式[3-6],为满足疫情下的教学需求,本文设计了基于智能手机的地球半径测量居家实验。随着电子信息技术的发展,智能手机已经被广泛普及到生活的方方面面。智能手机上搭载了例如加速度传感器、声传感器、光传感器、霍尔传感器(测磁感强度)及角速度传感器(陀螺仪)等多种灵敏传感器[7]。随着智能手机的发展,不仅传感器的灵敏度有了很大的提高,手机在视频与图像处理能力等方面的运算能力也有了极大的提高,这都为使用智能手机进行物理实验提供了可能性[8-12]。居家物理实验还可以拓宽学生自主进行物理实验的渠道,降低物理实验的门槛,提升学生对于实验设计的参与度、对大学物理实验课程的学习兴趣。
本文基于对智能手机的应用,设计了日落时差法、太阳仰角差值法和 GPS 定位法对地球周长进行了测量,并将地球看作是一个标准的球体,以地心到地球表面各点的平均值 r0=6371km 作为地球半径的真值。本文所提供的方法一方面可以完成居家物理实验课程对实验设计、数据测量及数据处理方面的要求,更重要的是可以锻炼同学们在居家实验过程中自主建立物理模型和自主设计实验内容的能力,让同学们感受物理实验在人类社会文明发展历程中的地位。
1 地球周长测量的原理
1.1 日落时间差法
日落时间是指太阳每天从西方地平线降落的时间,和该地区的经纬度有关。图 1 为日落时差法的光路原理示意图,图 1 中假设地球为标准的球体并且从北极向下俯视,当地面上一个处于 A 点的人观察到日落时刻,相当于太阳光线与 A 点刚好处于相切的位置,与此处的地球半径成 90° 夹角。如果此处的人垂直于地面上升一个高度 h,与处于地面上的 A 相比要过一段时间t才能观察到日落现象。虽然在地球上看人只上升了一个高度 h,但是由于地球的自转,相对于太阳来说,再次观察到日落时候的光路原理如图 1 中的 A′。这样两次测量之间就构成了一个直角三角形的关系。

根据三角形的几何关系可以得到

其中 α 为两次观察到日落的时间间隔内地球自转的角度,如果假设地球自转的角速度为 ω,则 α 可以表示为
α = ωt (2)
因为我们选取的日落时间差有限,导致地球自转的角度 α 非常小,根据麦克劳林展开,将 cosα 展开为

联立以后得

其中已知地球自转的平均角速度为
ω = 7.292×10-5rad·s-1 (5)
所以,只需要测得两次观察日落之间的海拔高度差 h 和时间间隔 t 即可得到地球半径 r。
1.2 太阳仰角差值法
如图 2 所示,当同经度上的 A、B 两个位置距离较小时,太阳入射到地球的光线可以看作是一组平行光。正午时分的太阳光平面与 OAB 平面平行,此时可以通过 A、B 两点处物体的影子得到此时太阳的仰角 α1、α2,根据几何关系此时圆心角 α 可表示为
α = α2-α1 (6)
如果 A、B 两个位置处所测仰角的物体高度和影子长度分别表示为 h 和 l,则两个仰角可以分别表示为

如果测量得到 A、B 之间的距离 s,则地球的半径可表示为:

所以确定 s、h1、l1、h2、l2 后即可得到地球的半径。

1.3 GPS定位法
上述两种方法虽然可以得到地球半径值,但是观察日落以及确定正午时刻在操作上都有模糊的地方,容易引起误差,GPS 定位法能够很好地规避上述两种方法带来的误差。
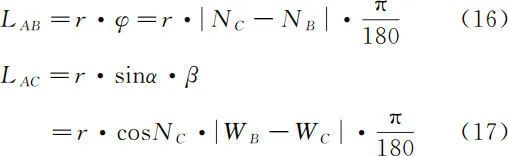
图 3 为 GPS 定位法的原理示意图,我们在地球表面确定 A、B、C 三个测量点,其中 A、B 为同经度的两点,A、C 为同纬度的两点,各点的经纬度信息分别用(W , N)坐标来描述。图 3 中参数 α 可以从纬度信息中得到

角度 β、φ 分别是弧长 AC、AB 对应的圆心角,所以有
β = | NA-NC | (11)
φ = | WA-WB | (12)

对于同经度的 A、B 两点来说,通过测量两点的位置信息和距离信息,根据几何关系可以得到地球的半径为

对于同纬度的 A、C 两点来说,通过测量两点的位置信息和距离信息,根据几何关系可以得到地球的半径为

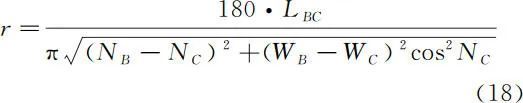
在实际测量的过程中很难确保在同纬度或者同经度,所以也可以直接使用 B、C 两点的位置信息来进行地球半径计算。测量点 B、C 可以是地球上的任意两点。因为测量点的距离相对于地球半径来说非常小,三点之间的距离可以满足勾股定理

其中

联立(15)(16)(17)三个方程得到

所以只要我们可以确定同纬度、同经度或者任意的两点经纬度信息,通过式(13)、(14)和式(18)即可计算地球半径。
2 实验测量过程与数据处理
2.1 日落时差法
对于日落时差法来说,高度 h 越高日落时间差和不同高度处的日落现象区分度越明显,实验的随机误差越小。所以,我们选一个高大的建筑物。为了更好地便于观察太阳落下地平面的过程,选择一个无云晴朗的傍晚进行该实验。建筑物面向日落的一面应该有足够宽阔的视野,遮挡物尽量少。
使用手机指南针 APP 对高度差 h 进行测量。图 4 所示为手机指南针界面,手机指南针可以测量当前我们所处位置的经纬度信息和海拔信息。我们在高度差约为 70m 的高楼上进行测量,图 4 为两个观测点位置信息的测量结果,海拔分别为 h1 = 446.8m、h2 = 519.8m,可以得到高度差为
h = h2-h1 = 73.0m

我们在上述两个高度同时将手机固定,使用带有时间水印的手机摄像机拍摄出日落过程的视频,从视频中确定出日落的准确时间。我们观察到日落前后,手机拍摄视频的视场亮度会突然变低,因为日落地平线以后太阳光进入到摄像头视场中的光线突然变少,为了准确测得当天日落时间,我们以视场变暗为日落依据,认为视场突然变暗的时刻即为日落时刻。
图 5 所示为视频中拍摄到的日落以及对应的时间点,可以得到两个高度对应的日落时间分别为 19:53:03.56 和 19:54:10.26。可以计算得到同一位置不同高度处观察到的日落时间差为
t = 66.30s
将所测量得到的 h 和 t 分别带入到公式(4)得到地球的半径为
r = 6246km
与公认的地球半径相比,本次测量的绝对误差为
δr = | r - r0 |= 125km
本次测量的相对误差为


影响该方法测量经度的关键点在于日落时间点的判断。日落指的是太阳徐徐降下至西方的地平线下的过程,实验中要想观察到日落与地平线的相对位置,应该在海平面进行日落现象的观测,从图 5 可以看出,本文所选观测点地处内陆并且日落观测受到当地建筑物的影响,这可能会引起我们对日落的判断从而引入误差。
2.2 太阳仰角差值法
太阳仰角差值法中,首先确定同经度的 A、B 两个位置,其中 A 点为河南省驻马店市汽车客运东站,B 点为河南省安阳市林县火车站,本文使用高德地图中的测量工具得到 A、B 两个位置之间的距离为 s = 355.95km,如图 6 所示。

在 A、B 两地各自选取高度分别为 h1 = 86.00cm 和 h2 = 75.00cm 的物体,在正午时刻测量得到两处的影子长度分别为 l1 = 75.78cm 和 l2 = 74.10cm。将上述参数代入式(9)得到地球半径为
r = 6239km
与公认的地球半径相比,本次测量的绝对误差为
δr = | r - r0 |= 132km
测量相对误差为

该方法的误差可能来源于:(1)该方法中确定的驻马店汽车客运东站和安阳市林县火车站并不完全在同一经度,两个测量点之间存在经度差;(2)测量影子长度的时刻理论上应该在地理的正午时刻,确保可以使太阳光平面与地心及测量点组成的平面平行,但每个位置处的正午时刻都不完全一致,所以选取的测量时间与正午时刻可能有偏差。
2.3 GPS定位法
前面两种方法在测量的时候使用的是手机指南针 APP,为了提高 GPS 信息的精度,在智能手机中安装 phyphox 软件。phyphox 软件是亚琛工业大学第二物理研究所开发的一款开源软件,该软件集成了物理学中声、光、热、力、电多种传感器,可以很好地用于学生自主实验及居家实验等。
图 7 左侧所示为软件的主界面,我们选择点击①处的“定位”(GPS)功能进入到图7右侧所示的界面,选择②位置处的“简明值”功能,即可测量当前位置的经纬度信息与距离信息,从③位置处可以看出该软件测量得到的经纬度信息能够精确到小数点后 6 位,测量经度高于手机自带的前面使用手机自带的指南针 APP 测量结果。图 7 中④位置处的距离起点距离代表的是两测量点之间的直线距离。卫星数目代表当前手机能够检测到的 GPS 卫星数量,卫星数量越多定位精度越高。

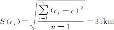
参照图 3 所示意的位置关系,表 1 为选取同经度上两点 A、B 所测量的位置和距离信息,r 为根据式(13)所计算得到的地球半径信息。

反复测量 6 次所得到的地球半径取平均可以得到

绝对误差为

相对误差为

本次测量的实验的标准偏差为

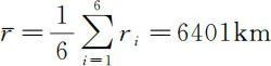
参照图 3 所示意的位置关系,表 2 为选取同纬度上两点 A、C 所测量的位置和距离信息,r 为根据公式(14)所计算得到的地球半径信息。

将反复测量 6 次所得到的地球半径取平均值

绝对误差为

相对误差为

实验的标准偏差为

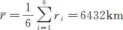
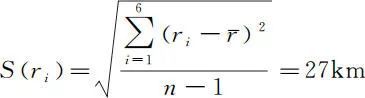
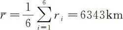
参照图 3 所示意的位置关系,表 3 为选取同任意两点 B、C 所测量的位置和距离信息,r 为根据公式(18)所计算得到的地球半径信息。

将反复测量 6 次所得到的地球半径取平均值:

绝对误差为

相对误差为

实验的标准偏差为

从测量结果可以看出 GPS 定位法的测量精度要明显优于日落时差法和太阳仰角差值法,本文认为这主要是因为 GPS 定位法消除了人眼观察所带来的不确定因素。
3 结语
本文使用了三种不同的方法测量了地球的半径,三种方法从观察日落到测量影子长度再到使用 GPS 定位,体现了技术发展带来的物理科学的进步,也体现了不同技术和方法带来的实验设计方法的不同,提高了基础物理实验课程的自主性和应用性。同时,本文提供的测量方法都需要学生自己搭建实验条件,能够很好地锻炼学生自主设计实验和实验操作的能力。测量结果满足基础物理实验课程的要求,可以让学生在实验的过程中感受物理学发展的魅力。
参考文献
[1]CARROLL J, HUGHES S. Using a video camera to measure the radius of the earth[J]. Physics Education, 2013, (6): 731.
[2]宫铁波, 张炳恒. 十大经典物理实验回顾[J]. 大学物理实验, 2003, 16(2): 80-83.
GONG T B, ZHANG B H. Dating back to the ten classical physics experiment[J]. 2003, 16(2): 80-83. (in Chinese)
[3]张增明. 64 学时大学物理实验线上教学方案及其设计思路[J]. 物理与工程, 2020, 30(2): 7-10.
ZHANG Z M. Syllabus of college physical experiments for online with 64 credit hours[J]. Physics and Engineering, 2020, 30(2): 7-10. (in Chinese)
[4]唐艳妮, 李学琴, 赵云芳, 等. 疫情中的大学物理实验线上教学探索[J]. 物理实验, 2020, 40(5): 31-35.
TANG Y N, LI X Q, ZHAO Y F, et al. Exploration on online teaching of physics experiment in epidemic situation[J]. Physics Experimentation, 2020, 40(5): 31-35. (in Chinese)
[5]王槿, 朱江, 李文华, 等. 启发式的多层次居家物理实验设计探索[J]. 物理实验, 2020, 40(4): 31-37.
WANG J, ZHU J, LI W H, et al. Exploration on the heuristic multi-leveled home-base physics experiment design[J]. Physics Experimentation, 2020, 40(4): 31-37. (in Chinese)
[6]李广斌, 李香莲, 王长顺, 等. 智慧教学与管理在大学物理实验中的应用[J]. 物理实验, 2019, 39(10): 42-51.
LI G B, LI X L, WANG C S, et al. Application of smart teaching and management in college physics experiments[J]. Physics Experimentation, 2019, 39(10): 42-51. (in Chinese)
[7]李锡均, 程敏熙, 江敏丽. 数字传感器新载体——智能手机在物理实验中的应用综述[J]. 大学物理, 2018, 37(2): 53-63.
LI X J, CHENG M X, JIANG L M. New sensor carrier-review of smartphone in physics experiment[J]. College Physics, 2018, 37(2): 53-63. (in Chinese)
[8]李立, 张皓晶, 张雄, 等. 基于智能手机磁性传感器测量重力加速度[J]. 物理实验, 2019, 39(9): 58-63.
LI L, ZHANG H J, ZHANG X, et al. Measuring gravity acceleration using the magnetic sensor in smart phone[J]. Physics Experimentation, 2019, 39(9): 58-63. (in Chinese)
[9]林春丹, 李秋真, 张程, 等. 基于智能手机的静电场描绘及模拟[J]. 物理与工程, 2020, 30(3): 113-118.
LIN C D, LI Q Z, ZHANG C, et al. Description and simulation of electrostatic field based on smart phone[J]. Physics and Engineering, 2020, 30(3): 113-118. (in Chinese)
[10]饶迪, 程敏熙. 用智能手机传感器测量重力加速度的新方法[J]. 大学物理, 2020, 38(1): 37-52.
RAO D, CHENG M X. An alternative approach to test the acceleration of gravity by using sensors in smartphone[J]. College Physics, 2020, 38(1): 37-52. (in Chinese)
[11]刘利澜, 李德安, 周少娜. 巧用智能手机拓展单摆实验[J]. 物理实验, 2019, 39(5): 59-62.
LIU L L, LI D A, ZHOU S N. Expanding single pendulum experiment with smartphone[J]. Physics Experimentation, 2019, 39(5): 59-62. (in Chinese)
[12]胡祥龙, 乐永康, 高渊, 等. 基于智能手机实现典型声学现象的课堂多边互动模式[J]. 物理实验, 2018, 38(3): 47-51.
HU X L, LE Y K, GAO Y, et al. Model of classroom multilateral interaction based on typical acoustic phenomenon realized with smartphone[J]. Physics Experimentation, 2018, 38(3): 47-51. (in Chinese)
基金项目:陕西省重点研发计划(2020GY-274);2020年西安交通大学本科教学改革研究(拔尖专项)项目(20BJ02Y)。
通讯作者:翟立朋,男,西安交通大学工程师,主要从事物理实验教学的设计与研究工作,科研方向为贵金属纳米材料表面等离子光学性能研究,zhailp2018@xjtu.edu.cn。
引文格式: 杨子源, 翟立朋, 毛胜春, 等. 基于智能手机的地球半径测量居家实验[J]. 物理与工程, 2022, 32(2): 133-139.
Cite this article: YANG Z Y, ZHAI L P, MAO S C, et al. Home physics experiment of measuring earth radius based on smartphone[J]. Physics and Engineering, 2022, 32(2): 133-139. (in Chinese)
| 留言与评论(共有 0 条评论) “” |