
本文参加百家号 #科学了不起# 天文航天系列征文赛。
问:建造太空电梯有多难?关键在哪?
物理学家:大约在19世纪末,康斯坦丁·齐奥科夫斯基(得名于火箭方程)开始想在赤道上建一座更高的“埃菲尔铁塔”,以使其成为将物体送入空间轨道的更便捷的途径。然而事实证明,这个想法最疯狂的部分不是空间部分,而是塔的那部分。试想如果你想建造一个通往太空的电梯,很显然,你不会把电梯挂在什么塔上,而是把它挂在天空。

图解:太空电梯的基本设置。在地球同步轨道上方约42,000公里高空,系绳摆动速度足够快以使其“向外甩”,使整个系统保持竖直立起。
为了建造太空电梯,我们应该首先将一捆缆索发送到地球同步轨道(也可在太空中制造),然后将一端降至地面。一旦缆索在地表锚定,我们便可通过它向上运送新的缆索,就如同在旗杆上升旗一样。
在过去几年里,向太空运送物品的成本急剧下降,因为那些惊人的天才们发现了火箭回收技术。但即使有了可重复使用的设备,火箭飞行也有许多不大可能被解决的缺点。火箭由燃料驱动,这意味着需要一整个额外的过程来给他们提供能量。由于火箭需要携带用于燃烧的所有燃料,火箭的第一级(也是最大的一级)所充满的燃料几乎完全是为了带着燃料本身升空。当然,所有常见的问题会在你乘坐一个“爆炸物”进入太空时突然降临。现在,初始阶段的资源正在被重新利用,这是件好事,但是它们的存在本身就是件坏事。

图解: “常见问题”
在太空电梯上爬上爬下的交通工具可以做到你喜欢多小就有多小,靠电力运行,并且不会遭受由火箭自身带来的燃烧或意外爆炸。虽然路途将慢得多且更受限制,但这更像是坐火车旅行而不是坐过山车,太空电梯的真正优势在于永远是无限自由免费的能量,也是一种安全方便的进出地球表面和太阳系内任意地方的方式。由于缆索固定在地面,地球的旋转为连接在缆索上的东西提供了横向速度(就像任何旋转的东西一样),并且如果缆索伸得足够远,那么横向速度就会累加更多。
将物体送入轨道的高度越高,所需时间就越长。近地轨道(几百公里以内)绕地球一圈约90分钟,而到月球(385公里外)大约需要一个月(一个朔望月)。中间有一“地球同步轨道”,物体可以精确地以1天为周期环绕地球,从而可以长期停留在赤道上空的某个点。如果你曾经看到一个卫星天线被固定在墙上,它正指向一颗地球同步卫星,因为只有那些卫星相对于地面完全静止在天空中。如果你从赤道竖直向上建立缆索,在地球同步轨道的下方的部分,缆索有下坠趋势,因为它的实际速度会比环绕轨道速度慢(这就是为什么缆索不能独自竖立),但在地球同步轨道以上,它会往外拉,因为它的实际速度比环绕轨道速度大。如果把绳子系在你头上并带动它转,那绳子会径直地指向你,出于与此完全相同的原因,太空电梯会保持直立(只要保证有足够的质量在地球同步轨道之上)。这样的话,基本上太空电梯会把地球变成一个巨大的太空草球。
建造太空电梯的最大障碍:1)它听起来像一个物理学家特有的空谈幻想,2)对于地球来说,只有少数材料可被用于建造一个太空电梯,而且造不出我们所需要的尺度。对于第一个问题其实已经有了答案:电力,无线电,计算机,卫星,以及几乎所有其他具有划时代意义的进展在从前都被认为是不可能实现、毫无意义的,直到它们变得容易且必不可少。而第二个才是根本问题。
一条悬着的绳子除了需要承受捆在绳子上的东西之外,还须承受自身重量。悬挂的绳子在承受其自身重量的拉扯而不断掉的长度是有限的,这一长度临界值称为“断裂长度”,恰如其名。断裂长度是材料密度和拉伸强度的函数;材料越轻、强度越高则该长度就越大。不幸的是,我们通常的建筑材料的断裂长度有些太短了。例如,钢的断裂长度约为6.4 km。

图解:这些管乐器没有因自身重量而断裂,原因是它们的长度小于铜的断裂长度:2.5km
所以为何不将缆索的顶端造得比底端粗呢?对于太空电梯我们正想这么做,而对于空间这样的尺度来说,这反而可笑。由于缆索是被向着地球同步轨道的两侧的方向拉伸的,同步轨道处的缆索必须最粗,侧过来看那里就像“山顶”。防止缆索断开的最佳状态是:整条缆索上各处的张力相同,这样你便可推算出在地球同步轨道处的缆索要比地表处(或其它你想要的位置)粗多少倍。这一倍数叫做“锥度比”。用钢来造一个太空电梯所需的锥度比约为10^175,这意味着地面上直径为1cm的钢索将在同步轨道处拥有10^60倍目前可观测宇宙的直径,这怎么可能造得出来嘛……另一方面,碳纳米管具有大约6000千米的断裂长度,在地表和同步轨道之间的锥度比为1.6,即使在碳纳米管上附加一些设备或很多负载导致这一比值为100,这么看来仍然可行。这样,当你在地面同时看这座太空电梯的地面部分和高空部分时会觉得有些奇怪,你看不出来它们相隔了36000公里。
然而问题是没有碳纳米管可以达到4万公里的长度,迄今的记录是半米。对于单分子而言这确实很壮观,但是使缆索完整地拉伸的效果总比将一段段的缆索粘连在一起要好,因为粘连的过程会引入薄弱点。实际上,建造太空电梯的一个绊脚石就在于:目前所能造出的碳纳米管太短而且成本巨大。但这是工程上的问题。我们知道我们会有能力做出来的,我们只需把细节的部分弄清楚,然后基于此做得更好。在过去的20年里,新的制造技术大大提高了生产效率,并使纳米管的价格下降了100多倍。由大量短的纳米管组成的纳米管“纱线”已经表明它可以达到理论长度最大值的三分之一,这对于一个太空电梯来说足够了(锥度比将会是……4.5左右)

左图:纳米管通常不是工业制造而来,它们是用气相沉积的方法“生长”出来,倘若用热碳原子吹向这一丛纳米管,这些原子会粘在对应的位置上。
右图:但是一般纳米管不会长得既平直又长,而是会连结成某种性能稍差的纱线。下图:就像这样。
这份针对NIAC(NASA高级概念研究所)的报告考虑并解决了太空电梯存在的问题、可行性和成本,对建造第一部太空电梯的报价是400亿美元,第二部则显著更少。诸如此类项目的预算估计不会是精确的,“400亿美元”的真正含义是“在40亿到4000亿美元之间的某处”。茶学及其相关子领域,如经济学,都不太适用于精确的预测。
等等,回到重点。简单来说,你自己将永远无法坐火箭去月球或其它星球,倘若你真的去了,那也是通过电梯去的。通常,当你看见太空电梯的样子时,你会想到本文开头的那张图片:地球,同步轨道,和一个刚超出轨道一点点的太空电梯。但那高于同步轨道的尾部目前还没有仔细研究呢,那里的乐子也会不少。

图解 :太空电梯不仅仅会平稳地将物体上下运送,如果你在电梯位于足够高的地方撒开手,它的力量也足以把你扔出太阳系
你离地越高,那么你的运动速度就越快,而且所受重力就越小。一个离地45000公里的太空电梯可使我们进入地球轨道,免去用火箭将物体送入轨道所带来的节省意味着短时间内即可弥补一座太空电梯的成本,这多好啊。另一方面,一座延申至20万公里处的电梯将改变人类历史的进程。它使我们可以快捷且便宜地来往于太阳系中的任何天体。我们的世界将在一代人的时间里,由危险、狭小、拥挤,扩展到前所未有的广阔、丰沃(除非有某种原因拖了我们后腿)。我们会出于某些动机而到某个星球去,比如土卫二和木卫二上含有比地球还多的水资源,而灵神星是一个具有一个州那么大的全是铁的小行星,在考虑到地球上几乎没有天然纯铁之后,这一点就更加吸引人了(要知道,从掺杂铁矿到纯铁是个漫长而充满污染的过程)。这其中的好处就在于那些无限可持续开发的资源可以轻松获取了。

图解:你可以在电梯缆索的不同高度位置建造不同类型的端口。
在30,000公里以下,你可以轻松返回地球。
在30,000到53,000公里之间,你会在地球轨道上运行。
在53,000公里以上,你会发现自己可以漫步太阳系了。
如果你想知道怎样抛出一块石头才能在最短的时间内、且耗费最少的能量落在火星上,那么答案是抛出点要在“霍曼转移轨道”。当你听说通往火星的发射窗口每780天才会有一次(即每个会合周期内有一次),那正是火-地霍曼转移轨道所处的窗口。而任何其它的发射路线都会耗费更多时间和燃料。
一部太空电梯就像飞船和货物的吊索,通过攀爬到适当的高度并在相应的发射窗口分离,你可以去太阳系的任何地方,而无需从地球上升起或拼命摆脱它的重力。而且这种方式在效率上所带来的收益非常可观。诸如“火箭得用燃料带着燃料升空”的事情将很快消失,摆脱升空意味着摆脱了火箭。

图解:实际上,每一枚火箭都在逃离地球表面的过程中大费周章,这是我们可以摆脱的问题。如果我们觉得有必要重启阿波罗登月计划,那么使用太空电梯之后,上图灰色部分就都可以扔掉了,剩下的就是登陆和返回月球的设备(返回的过程要容易得多)。
每一个通往其它星球的霍曼转移轨道与我们从那返回的轨道是相同的,因此电梯上的“火星端口”依然是接收来自于火星的飞行器的最佳位置。小行星采矿机也不需要担心它们的货船如何安全着陆地球,甚至减速都不需要担心:它们只需要对准“谷神星接口”(译者注:谷神星,小行星的代表)然后通过电梯降至地面。地球可能是建造太空电梯最不理想的地方了,这也是为什么我们需要用纳米管才能实现。你可以在一个旋转的小行星上做同样的事情,用钢缆将物体甩回地球,瞧,你又获得了一次免费的回家之旅。
在设计太空电梯时,其中最大的一个障碍在于如何驱动电梯舱上上下下。广泛的共识似乎是用激光来单向驱动电梯舱(而导电的线缆在长度达到几万英里的长度时其导电能力与树木无异)。但这是非常“上世纪”的太空思维。何不考虑配重呢。

左图:普通电梯里的金属配重块。右图:司琴星是太空电梯金属配重的一大资源(如果用阿波罗飞船大约需要运载57万亿次)。有了足够的配重之后,太空电梯提升一个电梯舱所需的能量几乎为零。换言之,带回地球的资源越多,我们离开地球的成本就越低
如果你曾有机会看到一个敞开的电梯井道,你可能已经注意到它比想象中电梯轿厢顶部连接单根缆索的结构更复杂。这是因为配重的存在(也可能有安全装置等等)。从电梯轿厢引出的缆索绕过滑轮并连接到配重上,因此当电梯轿厢上升时,配重下行。每有1公斤的配重下行时,就有1公斤的货物无消耗地上升(或近乎无消耗,若考虑摩擦的话)。同样的方法可以用在太空电梯上。原先运送一堆货物上升至火星端口将消耗大量能量,如果同时也有一批货物在返回的话,则一箭双雕。
如果从小行星带运回的物资多于从地球离开的飞船,那么“配重的旅行”会突然变得重要起来。你应该也把东西送上去,而不是单单刻意花费力气把物资送回地面。人、飞船、垃圾、游戏集……什么都行。在大约15万公里的高度,恰好是太阳系内外目的地端口之间的位置,那里是“盈亏平衡线”。试想一个上升至同步轨道的电梯再返回地面,那盈亏平衡的位置就是你上升所消耗的能量与从那返回时耗能相同的位置,所以(忽略摩擦且假设配重得到了合理的应用)你到达盈亏平衡位置的时候所消耗的总能量为零,而如果你想前往太阳系外,那还会有净收益(注:即多余的能量)。

在20万公里高空(仅一半的地月距离)的太空电梯就可以将物体甩进星际空间,完全不受太阳系的影响。然而这对于前往其他恒星的旅行还远远不够(我们不必担心脱离太阳的引力),但在很长一段时间内,光靠自己的太空电梯不会让我们迅速飞到到太阳系外的任何地方。例如,近期有一个“星际入侵者”飞入太阳系内,这块石头叫奥陌陌,当它处在星际空间时,它相对于太阳以26 km/s的速度飞行。很不幸,就为了追上这样近的一个系外小天体,我们都需要一条延伸至月球的缆索(大约54.5万公里)。这会存在两个问题:其一,即使对于纳米管,锥度比也会达到上千,其二,月亮会把电梯撞得粉碎。但不管怎样,“免费畅游太阳系”总比什么都没有了要强。
需要说明的是,以上所描述的太空电梯并不是疯狂的科幻小说,这是科学事实,只是现在并不存在。即使在缆索的最末端,你也会受到最大有十分之一的地球引力,因此你不会被离心力完全压碎,而且锥度比永远不会超过2.5。这是我们可以建造且舒服地使用的东西。这一项目的规模有点类似中国长城(21196公里长)或美国州际公路系统(77556公里),但它绝对可行。
硬核解答:你们应该想过我们生活在三维空间中,这意味着大致分布于赤道平面上的地方是太空电梯投掷物体的潜在目的地,而那些在两极方向的地方便遥不可及。地球保持其在空间中的定向自转,像是一个陀螺(好吧,也不那么像),这意味着地球赤道平面延伸到宇宙空间,将在天球上截得一个大圆,称之为“天赤道”。太阳系内所有绕着太阳转的物体大致都在同一平面内,正因地球也在这一平面,那这一平面与天球所截得大圆称之为“黄道”。除了极个别的例子(这些物体的轨道大多在外部),太阳系内的所有天体都可在黄道附近被发现。这两个平面是极为重要的地标(好像“天标”才合意?),二者的交点被定义为天球坐标的0°,有点像是“太空子午线”。

图中绿色的轨迹线就是黄道,绿线周围所有的行星离开天赤道的夹角都没有超过23.5°,这正处在地基太空电梯可以达到的范围。
因此在建造太空电梯之前,基于抛掷目的地而引发的一个重要问题是:“天赤道和黄道有多近?”。事实证明,他俩夹角最多23.5°。并非巧合,这正是地球的轴向倾角(因为黄道正是计算地球倾斜的参照面)。

图解:火星(以及几乎所有其它系内天体)在黄道面上。地球赤道和所建的任何太空电梯的弧度相对于黄道倾斜都约为23.5°
设V_t,V_f和V_m分别为目标速度、抛掷速度和缺失速度,θ为目标速度与天赤道面的夹角,由勾股定理有|V_t |^2=|V_f |^2+|V_m |^2,又有几何关系V_f=V_tcosθ和V_m=V_t sinθ,飞船所需总能量为〖1/2 m|V_t |〗^2=1/2 m|V_f |^2+1/2 m|V_m |^2,又因1/2 m|V_f |^2=〖1/2 m|V_t |〗^2cos^2θ,那么太空电梯提供了总能量的cos^2θ部分。这意味着最差的情形是:你前往目的地所消耗的能量里大约有cos^2(23.5°)≈0.84=84%是免费的。考虑到发射升空不再是一个持续关注的问题,此时离子驱动器(效率更高,但升力太弱)便是一个很好的选择,由它去解决剩余的那部分问题再合适不过了。
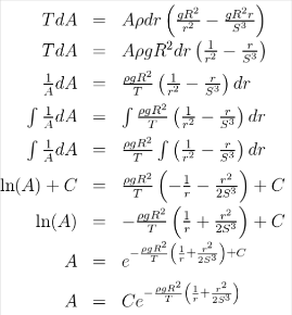
如果你想知道我们如何判断该尝试哪些材料,那这将归结为一般物理过程:提出合理的描述,再用数学语言解析,无奈地视之为失控的数学漩涡,最后(希望)能获得有用的东西。只要缆索上有一处的张力离奇偏高,那该处将会是断裂点。为了避免这样的薄弱点,我们所需要做的就是保证整个缆索上的张力处处相同。
缆索可以承受的合力等于横截面积乘以抗拉强度(最大应力)。这是因为两根缆索肯定可以提供两倍的总拉力,那么总张力必定正比于缆索根数(想象一下把它们捆成一束)或横截面积。在任一高度r处的缆索都承担着该处以下的整条缆索的重量。上升一小段距离dr之后,缆索需承担相同的重量外加r与r+dr之间的缆索重量。因此缆索所需额外的截面积dA只需能够承担外加的这部分重量。

图解:上升一小段距离,缆索截面积需要变粗dA以承担这部分多出的重量
重量是重力加速度乘以质量。描述质量很容易:ρAdr,其中ρ是缆索的密度,与材料相关,Adr是面积乘高度,即这一圆盘的体积。也许你疑惑为什么我们忽略了dA而看起来缆索好像并没有变粗或变细,这就是微元法(普遍意义上是微积分)的巨大优势之一。我们所忽略的这部分体积是1/3 dAdr,dA和dr都是“无穷小的微元”,这意味着它们都太小以至于会导致他俩的乘积更加小(译者注:高阶无穷小),所以略去,于是问题解决。
“多出的面积乘以拉伸强度精确地等于多出的重量”用数学语言表达为:

其中T是拉伸强度,g=9.81m/s2是地球表面重力加速度,R=6.37×106m为地球半径,t=8.62×104s是地球自转一周所需时间。当处于地球同步轨道高度S=4.22×107m时,上式可做进一步简化,以下两力大小相等(译者注:即引力提供向心力)
(gR^2)/S^2 =(2π/t)^2 S
这样我们就可以摆脱π(实际上是个变量,你能用它来做很多东西)和t。现在,就剩下一堆代数和微积分运算了:

以上式中所有的C都是积分常数,都是随定的,你完全可以用他们随意运算,就像这样:C±C=C,eC=C等等。但如果你给定最后一个C的值为C=e^((3ρgR^2)/2TS),那么你就声明了缆索在同步轨道处具有最大截面积为1(单位待定)。你可以从这里选择不同材料的拉伸强度和密度来计算不同结果,如果你想考察其可行性,也可以在这里查看其所绘的函数图像。
参考资料
1.Wikipedia百科全书
2.天文学名词
3. The Physicist-askamathematician- Eternitist
如有相关内容侵权,请于三十日以内联系作者删除
转载还请取得授权,并注意保持完整性和注明出处
| 留言与评论(共有 0 条评论) |