等离激元描绘了电子体系中由库伦相互作用产生的电子密度集体振荡行为,是凝聚态物理中最基本的元激发之一,自1951年由David Pines和David Bohm提出后就备受关注。目前,等离激元的研究已经发展出了等离激元光子学等相关学科,在生物医学、光通讯等方面有着广泛的应用前景。通常,等离激元存在于金属、半导体以及半金属中,其特征与体系中电子与其它准粒子(如空穴、声子等)之间的多体相互作用密切相关。因此,等离激元的研究可以揭示系统中由于各种多体相互作用引起的相变的物理图像。
1T-TiSe2是一种广受关注的准二维半金属材料。它稀薄的载流子浓度导致了系统中的弱电子屏蔽作用,这使电子-空穴相互作用与电子-声子相互作用等多体相互作用对其物性起到了决定性的影响。一方面,1T-TiSe2因其电子-空穴相互作用被认为是激子绝缘体的重要候选体系,特别是,之前有研究声称观测到了1T-TiSe2中等离激元的软化行为,被认为是激子绝缘体的决定性实验证据[A. Kogar et al., Science 358, 1314 (2017)]。另一方面,1T-TiSe2因在195 K左右发生的电荷密度波(Charge Density Wave,CDW)相变,大量研究认为电子-声子相互作用在其中发挥了重要作用。
综合以上两点,研究1T-TiSe2中的等离激元是揭示其中重要的电子-空穴与电子-声子相互作用的重要途径,而高分辨电子能量损失谱是研究等离激元性质的重要手段之一。中国科学院物理研究所所/北京凝聚态物理国家研究中心表面物理国家重点实验室SF06组博士生林子荐在朱学涛研究员和郭建东研究员的指导下,与SF06i组的张坚地研究员,物理所石友国研究员及其博士生王翠香、西班牙Donostia国际物理中心的V. M. Silkin和E. V. Chulkov教授等展开合作,利用自主研发的具有能量-动量二维解析能力的高分辨电子能量损失谱仪,在实验上观测到了1T-TiSe2中等离激元色散随温度的变化,并结合理论计算揭示了1T-TiSe2中的多体相互作用特性:

图一 使用高分辨电子能量损失谱测量得到的1T-TiSe2中的等离激元与声子的变温行为。(a)-(d)原始测量数据,虚线方框标注了声子,符号P标注了等离激元。(e)-(h)是(a)-(d)的二次微分(彩色映射图)叠加上理论计算的声子谱(红色三角形)。(i)q = 0处变温的能量分布曲线堆积图。(j)115 K温度下,不同动量的能量分布曲线图。
1.实验结果展示了等离激元在偏离q = 0之后产生了迅速衰减图一,使用基于含时密度泛函计算的损失函数理论上证明了观察到的等离激元衰减源于朗道衰减机制图二,因此不可能在大动量的电荷-空穴配对波矢处观察到等离激元软化。之前研究声称观测到等离激元的软化来源于其动量与能量分辨率不足,将能量接近的声子色散误认为了等离激元软化的特征。此结果澄清了1T-TiSe2中等离激元软化的相关实验问题,并指出寻找固体中激子绝缘体存在的证据仍然是一个有待探索的问题。

图二 理论计算得到的1T-TiSe2正常相与CDW相的损失函数,粗虚线与灰色阴影代表单粒子激发引起的朗道衰减区域,细虚线标注了等离激元开始衰减的动量。
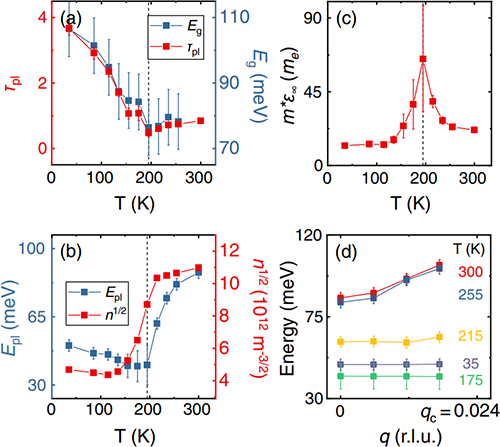
2.实验结果发现1T-TiSe2的等离激元寿命与CDW带隙有着类似的温度依赖关系图三(a),而且与带间跃迁有关的高频介电函数会导致等离激元能量在CDW相变温度附近有额外的下降图三(c),说明了带隙对等离激元的性质具有重要的影响。作者使用了一个包含CDW带隙引起的带间跃迁的介电函数模型,通过改变由CDW带隙引起的带间跃迁的能量与阻尼,成功重现了实验观察到的等离激元的温度依赖行为图四。此结果揭示了半金属中等离激元对带隙的敏感响应,并提供了一种调控等离激元寿命与能量的思路,将为后续的工作起到了抛砖引玉的作用。

图三 1T-TiSe2中温度依赖的等离激元特征。(a)等离激元的无量纲寿命参数与CDW带隙的比较。(b)等离激元能量与载流子浓度的比较。(c)载流子有效质量与高频介电常数的乘积。(d)等离激元色散随温度的变化。
这一研究成果以“Dramatic Plasmon Response to the Charge-Density-Wave Gap Development in 1T-TiSe2”为题发表在近期的Physical Review Letters上[Phys. Rev. Lett. 129, 187601 (2022)]。

图四 使用包含CDW带隙引起的带间跃迁的唯象模型重现1T-TiSe2中温度依赖的等离激元特征,插图代表q = 0处的能量分布曲线。
相关工作得到国家重点研发计划,国家自然科学基金,中国科学院战略先导(B),中国科学院青年创新促进会等计划的资助。
原文链接
编辑:扫地僧
| 留言与评论(共有 0 条评论) “” |